Logo Passei Direto
Buscar
Material
páginas com resultados encontrados.
páginas com resultados encontrados.
left-side-bubbles-backgroundright-side-bubbles-background

Crie sua conta grátis para liberar esse material. 🤩

Já tem uma conta?

Ao continuar, você aceita os Termos de Uso e Política de Privacidade

left-side-bubbles-backgroundright-side-bubbles-background

Crie sua conta grátis para liberar esse material. 🤩

Já tem uma conta?

Ao continuar, você aceita os Termos de Uso e Política de Privacidade

Prévia do material em texto

Unidade	4	–	Lista	de	Exercícios	
	
1. Qual	possui	o	maior	valor	numérico?	
a. O	pKa	de	um	ácido	forte	ou	o	pKa	de	um	ácido	fraco?	
b. O	Ka	de	um	ácido	forte	ou	Ka	de	um	ácido	fraco?	
	
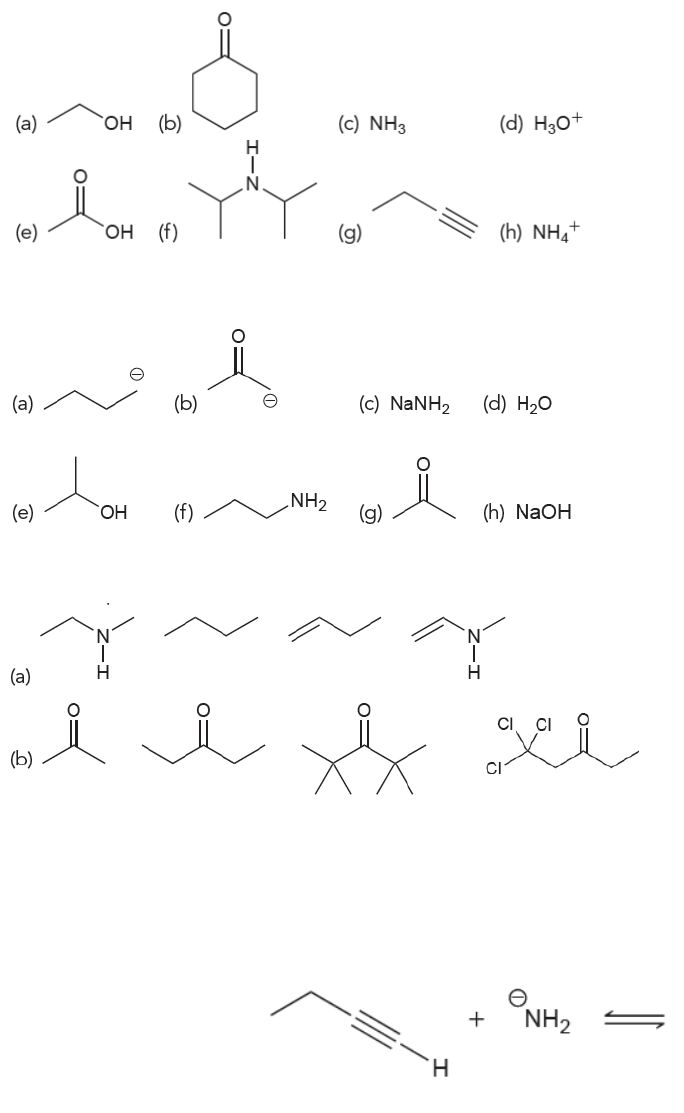
2. Desenhe	as	bases	conjugadas	dos	seguintes	ácidos:	
	
		
3. Desenhe	os	ácidos	conjugados	das	seguintes	bases:	
	
	
4. Coloque	em	ordem	crescente	de	acidez	os	seguintes	grupos	de	compostos.	Justifique	sua	resposta.	
	
	
5. Explique	o	fato	do	ácido	nitroacético	(NO2CH2CO2H)	(pKa	1.6)	ser	um	ácido	consideravelmente	mais	forte	do	que	
o	ácido	acético	(CH3CO2H)	(pKa	4.7).	Represente	as	bases	conjugadas	dos	compostos		
	
6. O	etanol	(C2H5OH)	(pKa		15.7)	poderia	ser	utilizado	como	solvente	para	a	realização	da	reação	abaixo?	Justifique	
sua	resposta	indicando	os	possíveis	produtos	desta	reação:	
	
	
	
7. Indique	em	qual	sentido	estará	deslocado	o	equilíbrio	de	cada	reação	abaixo.	Justifique	sua	reposta.	
(pKa		25) (pKa		38) 
	
	
8. Em	cada	composto	estão	identificados	dois	prótons.	Determine	qual	dos	dois	prótons	é	mais	ácido.	Justifique	
sua	resposta.	
		
	
9. Para	cada	reação,	indique	o	produto	esperado,	o	mecanismo	envolvido,	e	identifique	o	ácido	e	a	base	de	Lewis:	
	 	
	
	
10. A	2,4-Pentanodiona	 (pKa	 9)	 é	 um	ácido	 consideravelmente	mais	 forte	 do	 que	 a	 acetona	 (pKa	 22).	Desenhe	 as	
fórmulas	estruturais	das	bases	conjugadas	destes	compostos	para	justificar	essa	afirmação.

Mais conteúdos dessa disciplina