Logo Passei Direto
Buscar
Material
páginas com resultados encontrados.
páginas com resultados encontrados.
left-side-bubbles-backgroundright-side-bubbles-background

Crie sua conta grátis para liberar esse material. 🤩

Já tem uma conta?

Ao continuar, você aceita os Termos de Uso e Política de Privacidade

Prévia do material em texto

MT – 2o dia | Caderno 1 - Amarelo - Página 25
MATEMÁTICA E SUAS TECNOLOGIAS
Questões de 46 a 90
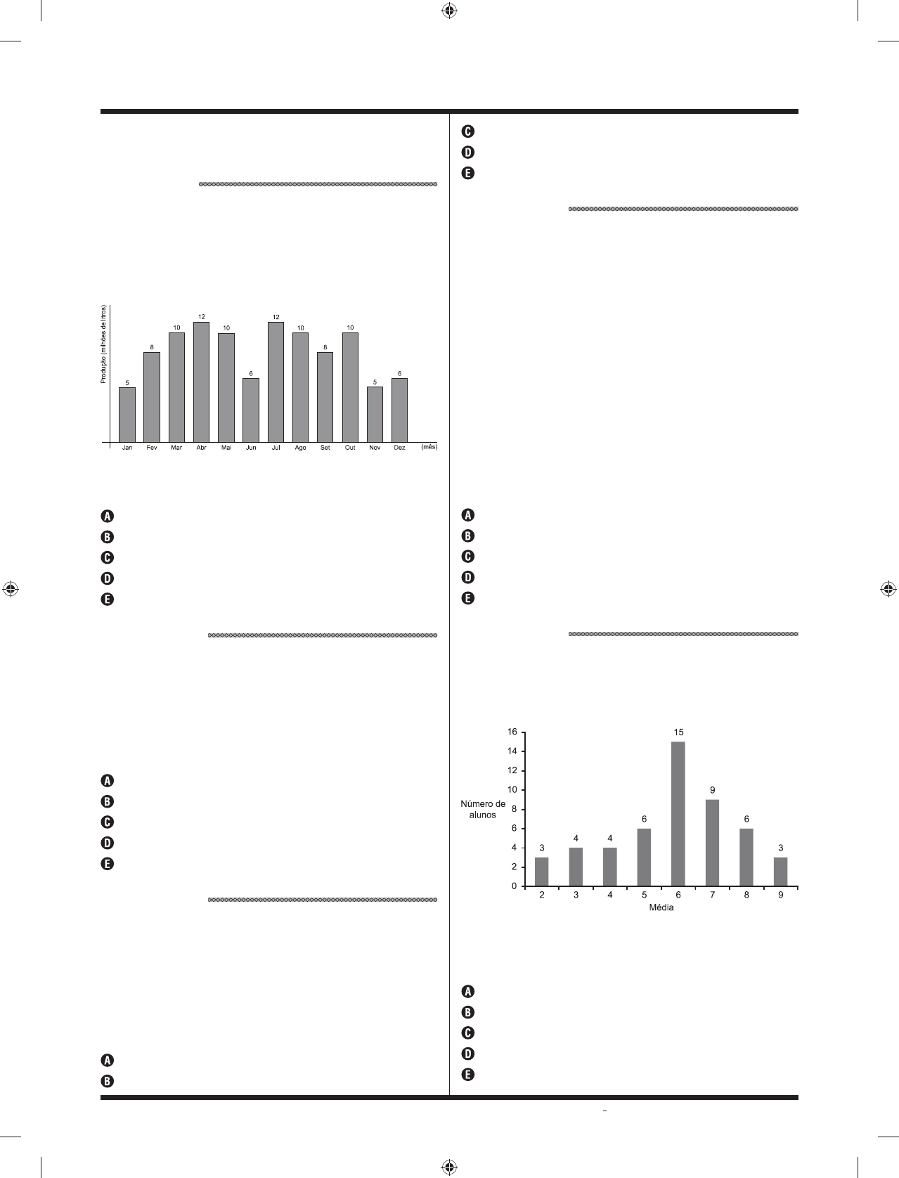
QUESTÃO 46
O uso de biodiesel gera uma série de efeitos ambientais, tais 
como a redução da emissão de gases do efeito estufa e a 
diminuição da poluição atmosférica. 
O	gráfico	mostra	a	produção	de	biodiesel	 (em	milhões	de	
litros) em uma usina, durante o período de um ano.
De acordo com os dados, a média, a mediana e a moda (em 
milhões de litros) são, respectivamente, iguais a
 8; 9 e 9.
 8; 9 e 10.
 8; 9,5 e 8.
 8,5; 9 e 10.
 8,5; 9,5 e 10.
QUESTÃO 47
Uma família viajava entre dois povoados da Serra da 
Mantiqueira e, para controlar o tempo de chegada, percorria 
cada trecho da viagem com uma velocidade diferente. A 
primeira terça parte do trajeto percorreu com velocidade 
média de 60 km/h, a terça parte seguinte a 40 km/h e o 
restante do percurso a 20 km/h. O valor que melhor aproxima 
a velocidade média do veículo nessa viagem, em km/h, é
 32,5.
 34,5.
 35,5.
 37,5.
 42,5.
QUESTÃO 48
Em um experimento no laboratório de pesquisa da faculdade 
de Microbiologia, tinha por objetivo inferir que o número 
de bactérias de uma determinada cultura, sob certas 
condições, evolui conforme a função B(t) = 10 · 3t – 1, em que 
B(t) expressa a quantidade de bactérias e t representa o 
tempo em horas. Ao atingir um número aproximado de 810 
bactérias, após o início do experimento, o tempo aproximado 
já decorrido, em horas, corresponde a:
 1.
 2.
 3.
 4.
 5.
QUESTÃO 49
Alguns conhecimentos são adquiridos mesmo antes de 
serem apresentados em sala de aula, como por exemplo, 
o conceito de lucro. Algumas pessoas têm a noção, mesmo 
sem ter estudado, de que o lucro é obtido diminuindo 
do preço de venda o valor do custo da mercadoria. Em 
linguagem matemática, podemos expressar essa situação 
como L = R – C, em que L é o lucro, C o custo da produção 
e R a receita do produto.
Em uma situação real, uma fábrica de tratores produziu n 
unidades e o setor responsável apresentou um relatório nos 
quais, em determinado mês, o custo de produção era dado 
pela função C(n) = n2 – 1.000n e a receita representada por 
R(n) = 5.000 n – 2n2.
Com base nas informações acima, a quantidade n de 
peças a serem produzidas para que o lucro seja máximo 
corresponde a um número do intervalo
 580

Mais conteúdos dessa disciplina