Logo Passei Direto
Buscar
Material
páginas com resultados encontrados.
páginas com resultados encontrados.

Prévia do material em texto

ESTATÍSTICA
42
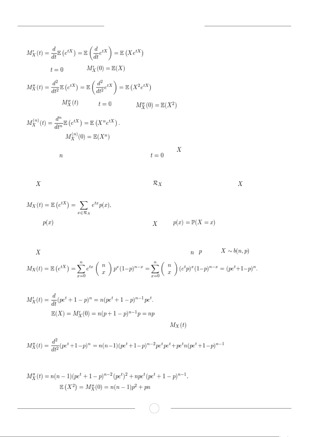
Observamos que
 
e, no ponto temos que . Similarmente temos que:
 
e, se calcularmos no ponto , temos que . Por indução, é fácil perceber que:
 
de onde segue que .
Portanto, se queremos encontrar o n-ésimo momento da variável aleatória , basta derivarmos sua função geradores de momentos 
(quando esta existir) vezes e então calcular o seu valor no ponto .
Função geradora de momentos de variáveis aleatórias discretas.
Definição 2:
Seja uma variável aleatória discreta que assume valores em . A função geradora de momentos de , quando existe, é então 
calculada da seguinte forma:
 
em que é a função de probabilidade da variável aleatória , isto é, . 
A seguir, apresentamos alguns exemplos de funções geradoras de momentos para algumas variáveis aleatórias discretas.
Exemplo:
Seja uma variável aleatória discreta com distribuição binomial com parâmetros e , ou seja, . Então
 
Podemos encontrar a média e a variância através da função geradora de momentos. Assim
 
Então como .
Para encontrarmos a variância basta derivarmos mais uma vez a função . Assim temos que:
 
e, portanto,
 
Logo, segue que , então obtemos que:
ESTATÍSTICA
43
Esperança condicional
A definição de esperança condicional com respeito a uma -álgebra pode ser encontrada na seção esperança condicional com respei-
to a uma sigma-álgebra.
Considere um espaço de probabilidade. A probabilidade condicional do evento dado o evento é definida por
 
assumindo que . Dados e variáveis aleatórias discretas assumindo valores 
 e , respectivamente. Uma definição natural para esperança condicional de dado é dada por
 
Assim, obtemos que a esperança condicional da variável aleatória dado a variável aleatória , denotada por , é uma 
função da variável aleatória e com isso, a esperança condicional também é uma variável aleatória. Portanto, temos que
 
Na sequência, tomamos e variáveis aleatórias discretas assumindo valores nos conjuntos enumeráveis 
e , respectivamente. A esperança condicional de dado é definida na forma
 
caso esta série esteja bem definida para todo . Da mesma forma, se , obtemos que . 
Considere a função indicadora do evento , que assume valor se ou zero caso contrário. Neste 
caso, a esperança condicional de dado a variável aleatória é dada por 
 
para todo e . Assim, obtemos que a probabilidade condicional é uma caso particular da esperança condicional 
e consequentemente, uma variável aleatória. Neste caso, obtemos que .
Agora, considere um vetor aleatório absolutamente contínuo com função densidade de probabilidade conjunta .A fun-
ção densidade condicional de dado é definida por
 
no qual é a função densidade de probabilidade da variável aleatória . Por definição, temos que
 
ESTATÍSTICA
44
 
para suficientemente pequeno.
Então, a probabilidade condicional neste caso é definida por
 
e a esperança condicional da variável aleatória dado a variá-
vel aleatória é definida por
 
Proposição
Sejam e variáveis aleatórias absolutamente contínuas 
então
 
Demonstração:
 
 
 
 
 
 
Exemplo:
Um dado honesto é lançado até a ocorrência do númeor . Seja 
Y a variável aleatória que conta o número de vezes que lançamos 
o dado até a ocorrência do número e a variável aleatória que 
conta o número de uns que tivemos nestes lançamentos. Vamos cal-
cular . O evento , significa que lançamos os dados 
 vezes nos quais, vezes não obtivemos o número e então 
no -ésimo lançamento obtivemos o número . Assim, dado 
, temos que X tem distribuição binomial , com e 
, pois temos possibilidades de ter ocorrido o número . 
De fato, como sabemos que dentro destes lançamentos o número 
 não pode ter ocorrido, temos apenas a possibilidade dos seguin-
tes resultados , com probabilidades iguais para cada um 
deles. Logo, a probabilidade de ocorrência do evento de interesse 
(sair o número ) é . Então, temos que
 
Como a esperança condicional é uma função da variável aleató-
ria , sabemos que é uma variável aleatória. No exemplo, 
temos que
 
e assim, a variável aleatória esperança condicional é dada por 
Lei dos grandes números
A lei dos grandes números foi primeiramente provada pelo 
matemático James Bernoulli na quarta parte de seu livro Ars Con-
jectandi publicado em 1713. Como acontece na maioria dos casos, 
a prova dada por Bernoulli é muito mais difícil do que a realiza-
da com a desigualdade de Chebyshev. Chebyshev desenvolveu sua 
desigualdade (uma generalização da desigualdade de Markov) para 
demonstrar uma forma mais geral da Lei dos Grandes Números. 
A lei dos grandes números é uma das principais leis assintóticas 
da estatística, sua ideia é bastante intuitiva, mas de grande impor-
tância. Antes de enunciarmos esta lei, vamos tentar analisar a ideia 
intuitiva dela.
“Quando um experimento se repete um grande número de ve-
zes, a probabilidade (na definição pela frequência relativa) de um 
evento tende para a probabilidade teórica”.
A lei afirma que a aproximação pela frequência relativa tende 
a melhorar quando o número de observações aumenta. Essa lei re-
flete em uma estimativa probabilística baseada apenas em umas 
poucas observações pode apresentar grande divergência, mas com 
um número crescente de observações a estimativa tende a ser cada 
vez com menor erro (precisão). 
Exemplo: 
Fazendo uma pesquisa sobre a população de um estado brasi-
leiro, observamos apenas alguns cidadãos (amostra), os resultados 
podem conter grande erro, porém se analisarmos várias pessoas 
em várias cidades diferentes dentro deste estado (selecionados ao 
acaso), os resultados das amostras estarão muito próximos dos ver-
dadeiros valores da população e quanto maior a amostra (maior 
número de pessoas entrevistadas) maior será esta aproximação.
Com isso concluímos:que quanto maior a minha amostra maior 
a minha precisão sobre aquela população, acerca do que queremos 
definir sobre a mesma.
Teorema Central do Limite
Assumir que os dados tem uma distribuição normal é altamen-
te conveniente tanto do ponto de vista teórico como do ponto de 
vista computacional. Mas isto deixa um problema de fundamental 
importância: sob quais circunstâncias é razoável assumir que a dis-
tribuição normal pode ser usada? Gauss trabalhou neste problema 
por muito tempo, mas é um resultado de Laplace que é utilizado 
hoje. Anunciado em 1810, Laplace chamou este resultado de Teo-
rema Central do Limite, que diz que sob a hipótese de amostragem 
aleatória, quando o tamanho da amostra aumenta, a distribuição 
de probabilidade da média amostral se aproxima de uma distribui-
ção normal com média e variância , ou seja, se o tamanho 
amostral é suficientemente grande, podemos assumir que a média 
amostral tem uma distribuição normal.
ESTATÍSTICA
45
Teorema Central do Limite:
Seja uma densidade com média e variância . Seja 
a média amostral de uma amostra aleatória de tamanho de . 
Então, a distribuição da variável aleatória definida por:
se aproxima da distribuição normal padrão quando tende ao 
infinito. Em outras palavras, tem distribuição aproximadamente 
normal com média e variância quando tende ao infinito.
Desse modo, o teorema central do limite nos diz que a distri-
buição limite de é uma distribuição normal padrão ou que 
é assintoticamente distribuída como uma distribuição normal com 
média e variância . O mais impressionante do teorema 
central do limite é o fato de que nada é dito a respeito da função 
densidade . Ou seja, qualquer que seja a função de distribuição, 
desde que ela tenha variância finita, a média amostral terá uma dis-
tribuição aproximadamente normal para amostras suficientemente 
grandes.
Distribuição amostral
Definição 1: 
Uma amostra aleatória de n elementos de uma população é 
representada pelas variáveis aleatórias , no qual 
cada , com representa um elemento da amos-
tra. Se e são independentes e possuem mesma função de 
probabilidade (ou função densidade de probabilidade), para todo 
, dizemos queos elementos da amostra são independentes e 
igualmente distribuídos (i.i.d).
Definição 2:
Seja uma amostra aleatória i.i.d. de ta-
manho de uma população e seja uma 
função real ou vetorial cujo domínio inclui o espaço amostral de 
. Neste caso, dizemos que a variável ou vetor 
aleatório é chamado de estatística. A distri-
buição de probabilidade da estatística Y é chamada de distribuição 
amostral de Y. Uma estatística associada a algum parâmetro popu-
lacional é também chamada de estimador.
Exemplo :
Seja uma amostra aleatória de uma popula-
ção. A média amostral é a média aritmética dos valores da amostra. 
A média amostral é uma estatística denotada por , ou seja, 
 
A variância amostral é a estatística definida por 
 
e o desvio-padrão amostral é a estatística definida por 
 
Motivação:
A média populacional representa a média de todos os indiví-
duos ou objetos que estão sendo estudados. Mas geralmente, nem 
todos os indivíduos podem ser medidos. 
Em geral, somente uma amostra de todos os indivíduos está 
disponível para nós e a média baseada nesta amostra, , é usada 
para estimar a média populacional . Um problema de fundamen-
tal importância é saber se a média amostral é um bom estima-
dor da média populacional . De maneira similar, quando calcula-
mos o desvio padrão amostral, , este valor pode ser considerado 
uma boa estimativa do desvio padrão populacional?
Exemplo 2.2:
Considere uma urna com 5 bolas, onde cada bola tem um nú-
mero com os números de 1 a 5. Retirando uma bola da urna, seja 
 a variável aleatória que assume o número da bola. Utilizando 
reamostragem com reposição, qual a distribuição amostral da mé-
dia ?
Consideremos inicialmente uma única retirada da urna. 
Como temos uma única retirada, a média . Com isso te-
mos que
ESTATÍSTICA
46
Então, para uma amostra de tamanho , temos que a dis-
tribuição amostral da média tem a mesma distribuição da variável 
aleatória .
Considere agora duas retiradas independentes e com reposi-
ção, e . A tabela a seguir mostra todos os possíveis valores 
para a média amostral , considerando as retiradas e .
Deste modo, temos que:
Ou seja, temos o seguinte gráfico de barras para a função de 
probabilidade da média amostral .
Considerando 3 retiradas independentes e com reposição te-
mos o seguinte gráfico para a função de probabilidade da média 
amostral .
Nas seções a seguir veremos que, quanto maior o tama-
nho amostral, a distribuição da média amostral tende a uma 
distribuição normal com média e variância 
.
Com um procedimento análogo, podemos obter as distribui-
ções amostrais de outras estatísticas de interesse. Por exemplo, va-
mos considerar no mesmo exemplo anterior, duas retiradas da urna 
com reposição e estudar a distribuição amostral do desvio-padrão 
. A tabela a seguir mostra todos os possíveis valores para o desvio-
-padrão , considerando as retiradas e .

Mais conteúdos dessa disciplina