Logo Passei Direto
Buscar
Material
páginas com resultados encontrados.
páginas com resultados encontrados.

Prévia do material em texto

Problem 3.15PP
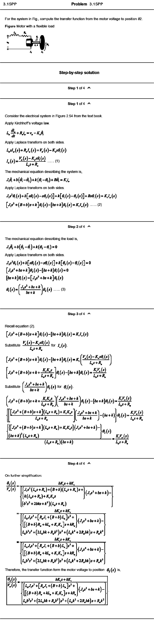
For the system in Fig., compute the transfer function from the motor voltage to position 02. 
Figure Motor with a flexible load 
i.
S tep -by-s tep s o lu tio n
step 1 of 4
Step 1 of 4
Consider the electrical system in Figure 2.54 from the text book. 
Apply KirchhofTs voltage law.
Apply Laplace transform on both sides.
The mechanical equation describing the system is,
J ,0 ,+ b (e ,-0 ,)+ k (e ,-0 ,)+ B $ ,= K ,i,
Apply Laplace transform on both sides.
[ V + ( B + i ) j + * ] « l ( i ) - [ f a + * ] « , ( i ) = A : , / , (» ) ...... (2)
Step 2 of 4
The mechanical equation describing the load is,
Apply Laplace transform on both sides.
J2S^$2 (^ ) ^^502 (k)s+RJc‘ 
bKs+kK,
(y,»’ + fts+ * )-
V / + [ V i + ( f i + * ) i . ] » ’ +
[ (B + 4 ) J ^ ,+ * t .+ X ,4 : , ] j+ * ) ^ 
i . 4 V *[LJc' *2RJbk)s*RJ^
Therefore, the transfer function form the motor voltage to position 0 l(s ) i:
« , ( j ) bK,s+kK,
K i ‘ ) 1 V i*’ + [ V i + ( f i+ 4 ) i . ] * ’ + 
|[ ( 5 + 4 ) « . +kL. + K,K,']s+kR, 
LJ>W +{2LJ>k+RJ^)s‘ + (LJ :‘
( j ^ + b s + k ) -
t-2R,bk)s+RJ[^

Mais conteúdos dessa disciplina