Logo Passei Direto
Buscar
Material
páginas com resultados encontrados.
páginas com resultados encontrados.

Prévia do material em texto

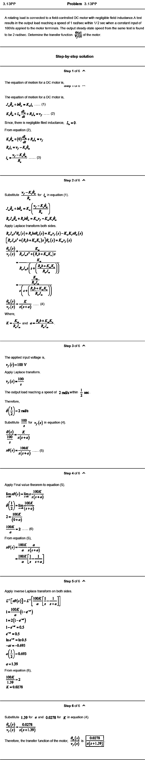
Problem 3.13PP
A rotating load is connected to a field-controlled DC motor with negligible field Inductance.A test 
results in the output load reaching a speed of 1 rad/sec within 1/2 sec when a constant input of 
lOOVis applied to the motor terminals. The output steady-state speed from the same test is found
0 W ,to be 2 rad/sec. Determine the transfer function of the motor.
Step-by-step solution
step 1 of 6
The equation of motion for a DC motor is.
oiep I ui o
The equation of motion for a DC motor is,
J A + m . - k j . ...... (1)
+ (2)
Since, there is negligible filed Inductance, sQ . 
From equation (2).
RJ. = v ,-K .d .
Step 2 of 6
for in equation (1).
R . j . e . * R jb 0 , = K . v , - K j : , e .
Apply Laplace transform both sides.
R .J j^ e .(s ) *R J b s e .(s ) = K . y , ( ! ) - K . K j , e . ( ! )
+ ( * , * + (s) = K .V , (j )
g . W K .
v ^ (j) ■ R,J,s'*(RJ> +K ,K ,)s 
K .
K J .
K J .
......( . ,
v^ (s ) 5 ( f+ a )
Where.
IC. RJb+K^K,=— ss_ and ----- s—
V . V .
Step 3 of 6
The applied Input voltage Is, 
V j, ( / ) = 100V 
Apply Laplace transform. 
100
The output load reaching a speed of 2 lad/swithin — sec-
Therefore,
t f f r l = 2rad/s 
100Substitute iiiii for Vy. (5) in equation (4).
s
S0{s)
100 s{s+a) 
s
lOOK
s{s+a) •(5)
Step 4 of 6
Apply Final value theorem to equation (5). 
100^
s Hm.s'

Mais conteúdos dessa disciplina