Logo Passei Direto
Buscar
Material
páginas com resultados encontrados.
páginas com resultados encontrados.

Prévia do material em texto

252 CHAPTER 8 
 
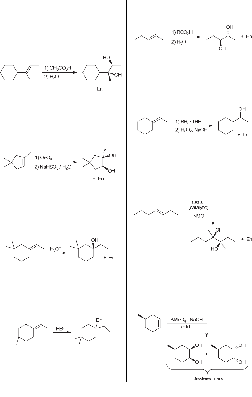
(c) The first reagent is a peroxy acid, indicating 
formation of an epoxide, which is then opened under 
aqueous acidic conditions. The net result is expected to 
be the addition of OH and OH across the alkene. The 
regiochemical outcome is not relevant because the two 
groups added (OH and OH) are identical. For the 
stereochemical outcome, we notice that two chiral 
centers are formed, and we expect only the pair of 
enantiomers resulting from an anti addition: 
 
(d) The reagents indicate a dihydroxylation reaction, so 
the net result will be the addition of OH and OH across 
the alkene. The regiochemical outcome is not relevant 
because the two groups added (OH and OH) are 
identical. We expect the reaction to proceed via a syn 
addition. In this case, two chiral centers are formed, so 
we expect only the pair of enantiomers resulting from a 
syn addition: 
 
 
 
(e) The reagent indicates an acid-catalyzed hydration, so 
the net result will be the addition of H and OH across the 
alkene. We expect a Markovnikov addition, so the OH 
group will be installed at the more-substituted position. 
Only one chiral center is formed, so we expect the 
following pair of enantiomers: 
 
 
 
 
(f) The reagent indicates a hydrobromination reaction, so 
the net result will be the addition of H and Br across the 
alkene. We expect a Markovnikov addition, so the Br 
group will be installed at the more-substituted position. 
No chiral centers are formed in this case, so 
stereochemistry is irrelevant: 
 
 
 
(g) The reagents indicate a dihydroxylation process (via 
an epoxide), so the net result will be the addition of OH 
and OH across the alkene. The regiochemical outcome 
is not relevant because the two groups added (OH and 
OH) are identical. We expect the reaction to proceed 
via an anti addition. In this case, two chiral centers are 
formed, so we expect only the pair of enantiomers 
resulting from an anti addition: 
 
 
(h) The reagents indicate a hydroboration-oxidation, so 
the net result will be the addition of H and OH across the 
alkene. For the regiochemical outcome, we expect an 
anti-Markovnikov addition, so the OH group is installed 
at the less-substituted position. We expect the reaction 
to proceed via a syn addition, but only one chiral center 
is formed, so we expect both enantiomers (syn addition 
can occur on either face of the starting alkene): 
 
 
(i) The reagents indicate a dihydroxylation reaction, so 
the net result will be the addition of OH and OH across 
the alkene. The regiochemical outcome is not relevant 
because the two groups added (OH and OH) are 
identical. We expect the reaction to proceed via a syn 
addition. In this case, two chiral centers are formed, so 
we expect only the pair of enantiomers resulting from a 
syn addition: 
 
 
 
8.32. The net result will be the addition of OH and OH 
across the alkene. The regiochemical outcome is not 
relevant because the two groups added (OH and OH) are 
identical. We expect the reaction to proceed via a syn 
addition. In this case, two chiral centers are formed, so 
we expect the two products shown below. Because of 
the presence of a third chiral center, these two products 
are diastereomers, rather than enantiomers. 
 
 
www.MyEbookNiche.eCrater.com

Mais conteúdos dessa disciplina