Logo Passei Direto
Buscar
Material
páginas com resultados encontrados.
páginas com resultados encontrados.

Prévia do material em texto

248 CHAPTER 8 
 
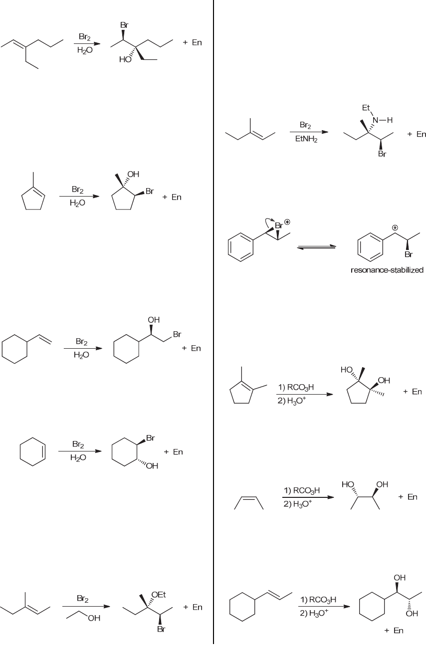
expect only the pair of enantiomers that would result 
from anti addition. 
 
 
(b) Treating an alkene with molecular bromine (Br2) and 
water results in the addition of OH and Br across the 
alkene (halohydrin formation). The OH group is 
expected to be installed at the more-substituted position, 
while Br is installed at the less-substituted position. In 
this case, two new chiral centers are generated, so we 
expect only the pair of enantiomers that would result 
from anti addition. 
 
 
 
(c) Treating an alkene with molecular bromine (Br2) and 
water results in the addition of OH and Br across the 
alkene (halohydrin formation). The OH group is 
expected to be installed at the more-substituted position, 
while Br is installed at the less-substituted position. In 
this case, only one new chiral center is generated, so we 
expect both possible enantiomers (formation of the initial 
bromonium ion can occur on either face of the  bond 
with equal likelihood). 
 
 
(d) Treating an alkene with molecular bromine (Br2) and 
water results in the addition of OH and Br across the 
alkene (halohydrin formation). In this case, two new 
chiral centers are generated, so we expect only the pair 
of enantiomers that would result from anti addition. 
 
 
 
8.22. 
(a) The alkene reacts with molecular bromine to give a 
bromonium ion, which is then attacked by a molecule of 
solvent (EtOH, in this case, rather than H2O). The result 
is the addition of Br and OEt (rather than the addition of 
Br and OH). The OEt group is expected to be installed 
at the more-substituted position, while Br is installed at 
the less-substituted position. In this case, two new chiral 
centers are generated, so we expect only the pair of 
enantiomers that would result from anti addition: 
 
 
 
(b) The alkene reacts with molecular bromine to give a 
bromonium ion, which is then captured by a molecule of 
solvent (EtNH2, in this case, rather than H2O). The 
result is the addition of Br and NHEt (rather than the 
addition of Br and OH). The ethylamino group (NHEt) 
is expected to be installed at the more-substituted 
position, while Br is installed at the less-substituted 
position. In this case, two new chiral centers are 
generated, so we expect only the pair of enantiomers that 
would result from anti addition: 
 
 
8.23. The bromonium ion can open (before a bromide 
ion attacks), forming a resonance-stabilized carbocation. 
This carbocation is trigonal planar and can be attacked 
from either side: 
 
 
 
 
8.24. 
(a) Treating an alkene with a peroxy acid followed by 
aqueous acid results in the addition of OH and OH across 
the alkene. In this case, two new chiral centers are 
generated, so we expect only the pair of enantiomers that 
would result from anti addition: 
 
 
 
(b) Treating an alkene with a peroxy acid followed by 
aqueous acid results in the addition of OH and OH across 
the alkene. In this case, two new chiral centers are 
generated, so we expect only the pair of enantiomers that 
would result from anti addition: 
 
 
 
(c) Treating an alkene with a peroxy acid followed by 
aqueous acid results in the addition of OH and OH across 
the alkene. In this case, two new chiral centers are 
generated, so we expect only the pair of enantiomers that 
would result from anti addition: 
 
www.MyEbookNiche.eCrater.com

Mais conteúdos dessa disciplina