Logo Passei Direto
Buscar
Material
páginas com resultados encontrados.
páginas com resultados encontrados.

Prévia do material em texto

CHAPTER 8 249 
 
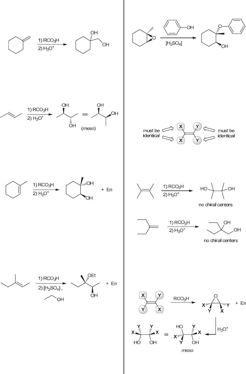
(d) Treating an alkene with a peroxy acid followed by 
aqueous acid results in the addition of OH and OH across 
the alkene. In this case, the product has no chiral 
centers, so stereochemistry is not a relevant 
consideration. 
 
 
 
(e) Treating an alkene with a peroxy acid followed by 
aqueous acid results in the addition of OH and OH across 
the alkene. In this case, two new chiral centers are 
generated. However, the anti addition results in the 
formation of a meso compound: 
 
 
 
(f) Treating an alkene with a peroxy acid followed by 
aqueous acid results in the addition of OH and OH across 
the alkene. In this case, two new chiral centers are 
generated, so we expect only the pair of enantiomers that 
would result from anti addition: 
 
 
 
8.25. 
(a) Treating an alkene with a peroxy acid results in an 
epoxide. Further treatment of the epoxide with ethanol 
under acid conditions results in a ring opening reaction 
in which ethanol serves as the nucleophile. Nucleophilic 
attack occurs at the more-substituted (tertiary) position, 
so the net result is the addition of OH and OEt across the 
alkene, with the latter being installed at the more-
substituted position, as shown: 
 
 
 
 
 
(b) Treatment of the epoxide with phenol (C6H5OH) 
under acid conditions results in a ring opening reaction 
in which the oxygen atom of phenol serves as the 
nucleophilic center. Nucleophilic attack occurs at the 
more-substituted (tertiary) position, so the net result is 
the addition of OH and OR (where R is C6H5) across the 
alkene, with the latter being installed at the more-
substituted position. Since the starting epoxide is 
enantiomerically pure (we are starting only with the 
enantiomer shown), we expect an enantiomerically pure 
product (not a mixture of enantiomers), as shown. 
 
 
 
 
8.26. 
(a) Compound A is converted to an epoxide upon 
treatment with a peroxy acid, so compound A must be an 
alkene. There are many alkenes with the molecular 
formula C6H12, and it would be time-consuming to try to 
draw them all. Instead, we notice the following: in order 
for the product to have no chiral centers, each of the 
vinylic positions must already contain two identical 
groups, like this: 
 
 
 
 
There are only two alkenes with the molecular formula 
C6H12 that fit this criterion: 
 
 
 
 
 
(b) In order to be a meso compound, the resulting diol 
must contain two chiral centers, as well as reflectional 
symmetry (such as an internal plane of symmetry). In 
order to achieve this result, the starting alkene must have 
the following structural features: 
 
 
 
The identity of X and Y must be different, or the 
resulting diol would have no chiral centers. There is 
www.MyEbookNiche.eCrater.com

Mais conteúdos dessa disciplina