Logo Passei Direto
Buscar
Material
páginas com resultados encontrados.
páginas com resultados encontrados.

Prévia do material em texto

294 CHAPTER 9 
 
 
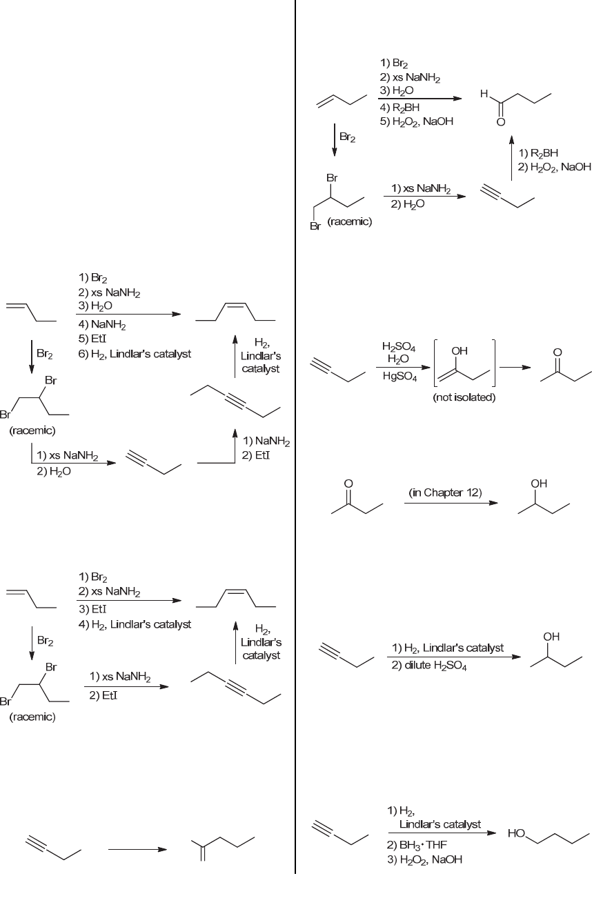
9.29. 
(a) The desired transformation appears to involve 
installation of an ethyl group. If the starting compound 
were a terminal alkyne, we could simply perform an 
alkylation reaction, but unfortunately, the starting 
compound is an alkene (not an alkyne). Alkenes do not 
undergo alkylation reactions under the same conditions 
used for the alkylation of alkynes, and we have not 
covered the conditions necessary for alkylating an 
alkene. So, in order to perform the necessary alkylation 
reaction, we must first convert the alkene into an alkyne. 
This is accomplished by treating the starting alkene with 
Br2, giving a dibromide, followed by treatment with 
excess sodium amide (and then water work-up). At this 
point, the alkylation step can be performed with ease, 
and the resulting alkyne can then be reduced with 
molecular hydrogen (H2) in the presence of Lindlar’s 
catalyst to generate the desired cis alkene. 
 
 
Note: The alkyne produced after step 3 does not need to 
be isolated and purified, and therefore, steps 3 and 4 can 
be omitted. That is, the synthesis can be presented like 
this: 
 
 
 
(b) The desired product is an aldehyde, which can be 
made from the following alkyne (1-butyne) via 
hydroboration-oxidation: 
 
H
O
Hydroboration-
oxidation
 
This alkyne can be prepared from the starting alkene by 
brominating the alkene to give a dibromide, followed by 
elimination with excess sodium amide: 
 
 
(c) We see an OH group at the more substituted position, 
indicating a Markovnikov addition. But there is a 
problem. If we try to perform Markovnikov addition of 
H and OH across the alkyne, the resulting enol will 
immediately tautomerize to give a ketone: 
 
 
And we have not yet learned a way to convert the ketone 
into the desired product, although we will learn how to 
achieve this transformation in Chapter 12: 
 
 
 
So, we must find another route. Instead of performing 
acid-catalyzed hydration first, we could first reduce the 
alkyne (in the presence of a poisoned catalyst), giving an 
alkene. This alkene can then be treated with dilute 
aqueous acid to give Markovnikov addition of H and 
OH, resulting in the desired product: 
 
 
 
(d) Much as we saw in the solution to the previous 
problem, the desired product can be made by first 
reducing the alkyne in the presence of a poisoned 
catalyst (to give an alkene), followed by addition of H 
and OH across the alkene. In this case, we need an anti-
Markovnikov addition, so we employ a hydroboration-
oxidation procedure: 
 
 
www.MyEbookNiche.eCrater.com

Mais conteúdos dessa disciplina