Logo Passei Direto
Buscar
Material
páginas com resultados encontrados.
páginas com resultados encontrados.

Prévia do material em texto

CHAPTER 9 295 
 
 
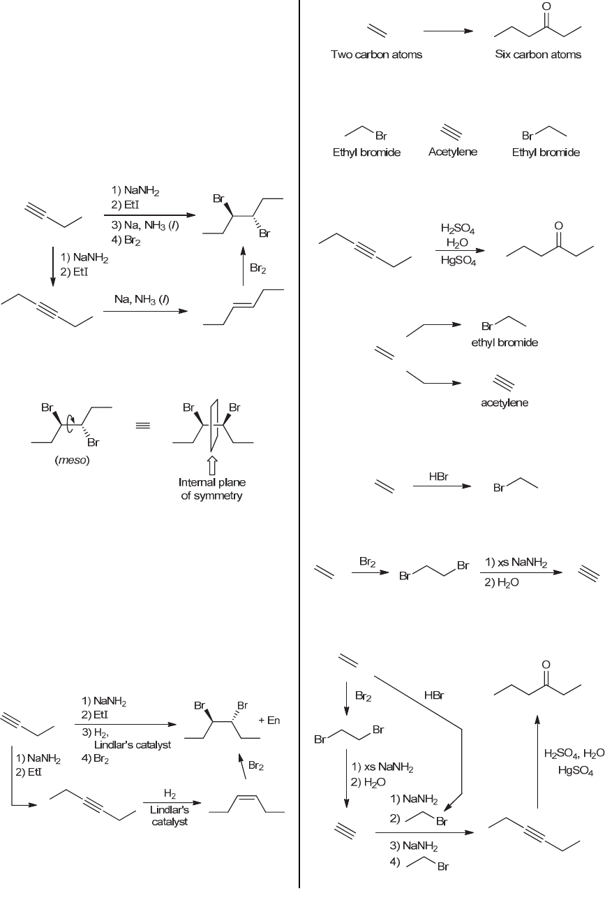
(e) The starting alkyne has only four carbon atoms, while 
the desired product has six carbon atoms. So we must 
install an ethyl group. This can be achieved by 
alkylating the starting alkyne. After the alkylation, the 
resulting, symmetrical alkyne can be reduced to an 
alkene, followed by bromination. Since the last step 
(bromination) proceeds via an anti addition, the desired 
stereoisomer can only be obtained if the previous step 
(reduction of the alkyne) is performed in an anti fashion. 
That is, we must use a dissolving metal reduction, rather 
than hydrogenation with a poisoned catalyst. 
 
 
 
Notice that the product is a meso compound, which can 
be seen more clearly if we rotate about the central C-C 
bond, like this: 
 
 
 
(f) The starting alkyne has only four carbon atoms, 
while the desired product has six carbon atoms. So we 
must install an ethyl group. This can be achieved by 
alkylating the starting alkyne. After the alkylation, the 
resulting, symmetrical alkyne can be reduced to an 
alkene, followed by bromination. Since the last step 
(bromination) proceeds via an anti addition, the desired 
stereoisomer can only be obtained if the previous step 
(reduction of the alkyne) is performed in a syn fashion. 
That is, we must perform a hydrogenation reaction with a 
poisoned catalyst, rather than using a dissolving metal 
reduction. 
 
 
9.30. The starting material has two carbon atoms, and 
the desired product has six carbon atoms: 
 
 
So, we must form C-C bonds. This can be achieved with 
acetylene and two equivalents of ethyl bromide: 
 
 
 
And the resulting alkyne can be converted into the 
product in just one step: 
 
 
 
So, our goal is to convert ethylene into acetylene and 
ethyl bromide: 
 
 
The former can be achieved in just one step, by treating 
ethylene with HBr: 
 
 
 
Acetylene can be made from ethylene via the following 
two step process: 
 
 
In summary, the following synthetic route converts 
ethylene into 3-hexanone: 
 
 
 
www.MyEbookNiche.eCrater.com

Mais conteúdos dessa disciplina