Logo Passei Direto
Buscar
Material
páginas com resultados encontrados.
páginas com resultados encontrados.

Prévia do material em texto

CHAPTER 9 293 
 
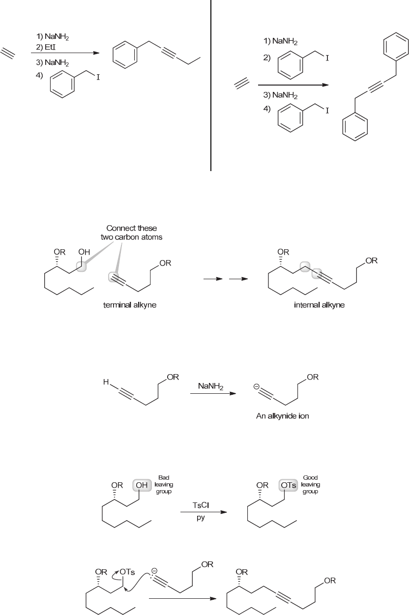
installation of the ethyl group followed by installation of 
the benzyl group: 
 
 
 
 
 
(k) The desired transformation involves two, successive 
alkylation processes. Each alkylation is achieved by 
treating the alkyne with sodium amide, followed by 
benzyl iodide. Notice that each alkylation process must 
be performed separately. 
 
 
 
 
9.28. The carbon atoms present in compounds 1 and 2 completely account for the carbon skeleton of compound 3, if 
we can connect the two highlighted carbon atoms: 
 
 
 
This process involves the conversion of a terminal alkyne (compound 2) into an internal alkyne (compound 3), which 
can be accomplished via an SN2 process. In order to perform the desired SN2 reaction, the starting materials must first 
be modified. The terminal alkyne (compound 2) must be deprotonated with a strong base to convert it into a good 
nucleophile (using, for example, NaNH2 to produce an alkynide ion): 
 
 
 
Also, the alcohol (compound 1) must be converted into a substrate that contains a good leaving group, because 
hydroxide is not a good leaving group. For example, the alcohol can be treated with TsCl and pyridine to give a 
tosylate (see Section 7.12): 
 
 
 
Treating this tosylate with the alkynide ion will result in an SN2 reaction, giving compound 3: 
 
 
 
 
www.MyEbookNiche.eCrater.com

Mais conteúdos dessa disciplina