Logo Passei Direto
Buscar
Material
páginas com resultados encontrados.
páginas com resultados encontrados.

Prévia do material em texto

570 CHAPTER 16 
 
 
In summary, we expect the following possible products: 
 
 
 
 
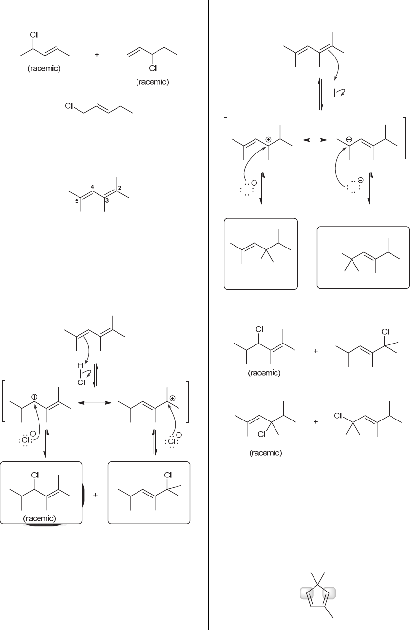
(b) We first identify the locations where protonation can 
occur. There are four unique positions where 
protonation can occur, labeled C2, C3, C4, and C5: 
 
 
 
Among these four positions, only protonation at C2 or at 
C5 will generate a resonance-stabilized carbocation. So, 
we must explore protonation at each of these positions. 
Let’s begin with protonation at C5, which leads to a 
resonance–stabilized intermediate. When we draw both 
resonance structures, we can see that two positions are 
electrophilic. Nucleophilic attack can occur at either of 
these locations, giving rise to two products: 
 
 
 
 
Notice that one of the products possesses a chiral center 
and is therefore produced as a racemic mixture (because 
the chloride ion can attack either face of the allylic 
carbocation with equal likelihood). 
Now let’s consider protonation at C2. Once again, 
protonation leads to a resonance–stabilized intermediate. 
When we draw both resonance structures, we can see 
that two positions are electrophilic. Nucleophilic attack 
can occur at either of these locations, giving two possible 
products, as shown: 
 
H
Cl
Cl
Cl
(racemic)
+
Cl Cl
 
 
In summary, we expect the following possible products: 
 
 
 
 
 
 
 
(c) We first identify the locations where protonation can 
occur. There are four unique positions where 
protonation can occur, although a resonance-stabilized 
intermediate can only be obtained upon protonation of 
one of the ends of the conjugated  system, highlighted 
below: 
 
 
www.MyEbookNiche.eCrater.com

Mais conteúdos dessa disciplina