Logo Passei Direto
Buscar
Material
páginas com resultados encontrados.
páginas com resultados encontrados.

Prévia do material em texto

550 CHAPTER 15 
 
The singlet at 2.4 ppm has an integration of 1, which can 
be attributed to the OH group. Each of the multiplets 
near 1.5 ppm has an integration of 2H, indicating 
methylene groups that have complex splitting: 
 
 
 
The triplet at 1.0 ppm has an integration of 3H, 
indicating a methyl group that is connected to a 
neighboring CH2 group. 
 
In summary, we have the following fragments: 
 
 
 
There are only two ways to connect these four 
fragments: 
 
 
 
The first structure contains an ethyl group, which should 
produce a quartet with an integration of 2 (for the CH2 
portion of the ethyl group). If we inspect the three 
signals between 3.5 and 4 ppm, it is difficult to argue 
that any of these signals is a quartet. While it is difficult 
to be certain, because two of these signals overlap with 
each other, it looks more like each of these signals is a 
triplet, which would be consistent with the second 
structure: 
 
 
 
 
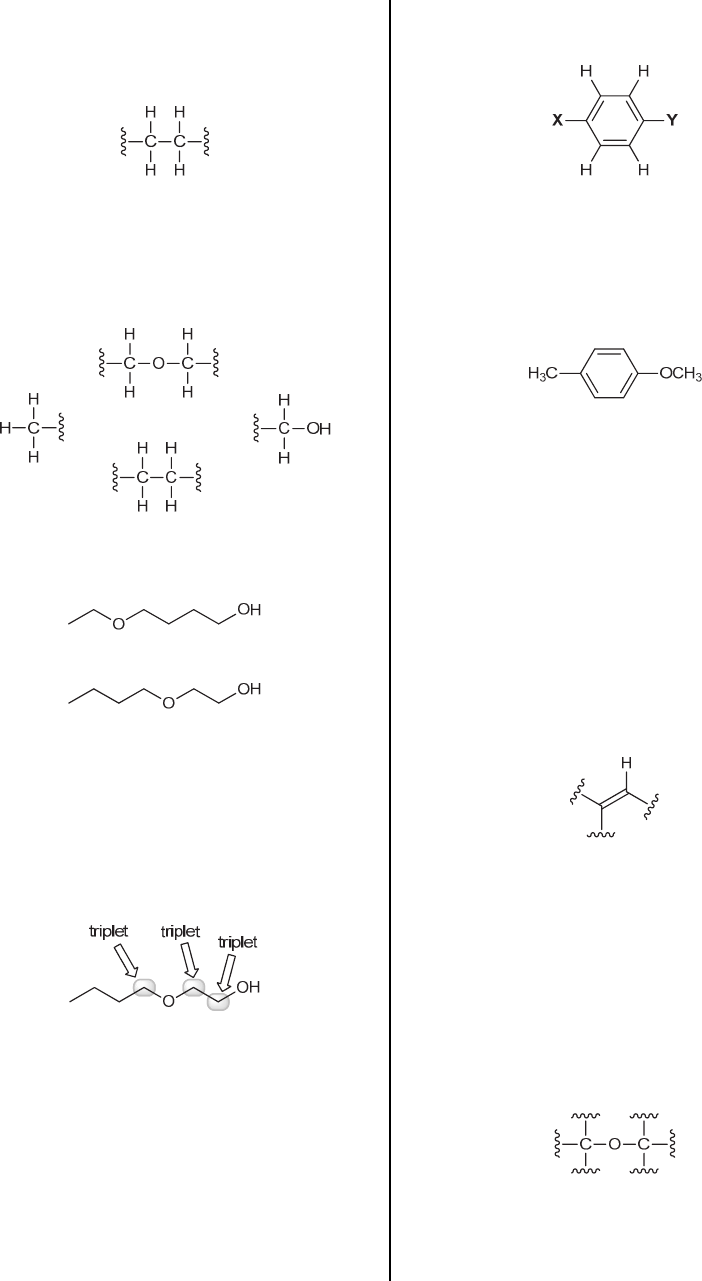
15.64. The molecular formula (C8H10O) indicates four 
degrees of unsaturation (see Section 14.16), which is 
highly suggestive of an aromatic ring. This is confirmed 
by the presence of signals just above 3000 cm-1 in the IR 
spectrum, and signals at approximately 1600 cm-1. In the 
1H NMR spectrum, the signals near 7 ppm are likely a 
result of aromatic protons, which also confirms the 
presence of an aromatic ring. Notice that the combined 
integration of these two signals (near 7 ppm) is 4H. 
This, together with the distinctive splitting pattern (a pair 
of doublets), suggests a 1,4-disubstituted aromatic ring: 
 
 
 
The spectrum also exhibits two singlets, each of which 
has an integration of 3H, indicating methyl groups. 
Notice that both signals are shifted downfield (relative 
the benchmark value for a methyl group of 0.9 ppm). 
One of them is shifted much more than other, indicating 
that it is likely next to an oxygen atom. This gives the 
following structure: 
 
 
This structure is consistent with the 13C NMR spectrum. 
Specifically, there are four signals for the aromatic ring, 
one of which is shifted downfield because it is next to an 
oxygen atom. And the other two signals are for the 
methyl groups, one of which appears above 50 ppm 
because the carbon atom giving rise to this signal is next 
to an oxygen atom. 
 
 
 
15.65. The molecular formula (C5H10O) indicates one 
degree of unsaturation (see Section 14.16), which means 
that the compound must either have a double bond or a 
ring. The IR spectrum has a signal at approximately 
3100 cm-1, indicating the presence of a Csp2–H bond: 
 
 
 
This is consistent with the weak signal at 1600 cm-1, 
indicating the presence of a C=C double bond (which 
accounts for the one degree of unsaturation). 
The 13C NMR spectrum has two signals between 100 and 
150 ppm, confirming the presence of a C=C double 
bond. In addition, there are three other signals, two of 
which appear between 50 and 100 ppm. These latter two 
signals are characteristic of carbon atoms connected to 
an oxygen atom. Since there is only one oxygen atom in 
the structure (C5H10O), these two carbon atoms must be 
connected to it: 
 
 
 
In the 1H NMR spectrum, we see the characteristic 
pattern of an ethyl group (a triplet with an integration of 
3 and a quartet with an integration of 2): 
 
www.MyEbookNiche.eCrater.com

Mais conteúdos dessa disciplina