Logo Passei Direto
Buscar
Material
páginas com resultados encontrados.
páginas com resultados encontrados.

Prévia do material em texto

524 CHAPTER 15 
 
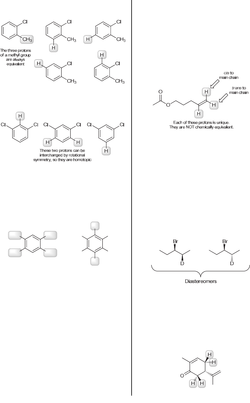
(e) This compound has five different kinds of protons 
(highlighted below), giving rise to five signals. 
 
 
(f) This compound has three different kinds of protons 
(highlighted below), giving rise to three signals. 
 
 
 
(g) This compound has four protons and none of them 
can be interchanged by rotational or reflectional 
symmetry. Each of the four protons occupies a unique 
electronic environment, giving rise to four signals. 
 
(h) This compound has two different kinds of protons 
(highlighted below), giving rise to two signals. 
 
H3C
CH3
H3C
CH3
H
CH3
H3C
H
These two protons can
be interchanged by
rotational symmetry, so
they are all equivalent
These four methyl groups
can be interchanged
by rotational symmetry, so
all twelve protons are
homotopic
CH3
H3C
 
 
(i) Due to the location of the two bromine atoms, each 
CH2 group occupies a unique electron environment, 
giving rise to two separate signals (one for each CH2 
group). In addition, the two methyl groups are also in 
different electronic environments, giving two separate 
signals. In total, we expect four signals. 
 
(j) Each of the protons in each CH2 group is in a unique 
electronic environment, as a result of the presence of a 
chiral center. That is, each CH2 group gives rise to two 
separate signals, so the two CH2 groups collectively give 
rise to four different signals. The two methyl groups are 
also different from each other (because of their proximity 
to the bromine atom), giving two more signals. In 
addition, there is one signal from the proton attached to 
the carbon bearing the bromine atom. In total, we expect 
seven signals. 
 
(k) As we saw in the solution to Problem 15.2c, pentane 
is expected to produce three signals in its 1H NMR 
spectrum. A similar analysis of heptane indicates that its 
1H NMR spectrum should contain four signals. 
 
(l) Each of the three vinylic protons occupies a unique 
electronic environment, giving rise to three separate 
signals: 
 
 
The two vinylic protons at the very end are different 
from each other because one is cis to the main chain and 
the other is trans to the main chain, as shown. Each of 
the CH2 groups provides one signal (because each CH2 
group occupies a unique electronic environment), and the 
CH3 provides one more signal, giving a total of seven 
signals. 
 
15.6. The presence of the bromine atom does not render 
C3 a chiral center because there are two ethyl groups 
connected to C3. Nevertheless, the presence of the 
bromine atom does prevent the two protons at C2 from 
being interchangeable by reflection. The replacement 
test gives a pair of diastereomers, so the protons are 
diastereotopic (which means that they are not chemically 
equivalent). 
 
 
15.7. Each of the protons in the following highlighted 
CH2 groups is in a unique electronic environment, as a 
result of the presence of the chiral center. That is, each 
CH2 group will give rise to two separate signals, because 
one H is on the same face as (cis to) the propenyl 
substituent, while the other H is further away from it, on 
the opposite face as (trans to) the propenyl substituent. 
Therefore, these two CH2 groups collectively give rise to 
four different signals: 
 
 
www.MyEbookNiche.eCrater.com

Mais conteúdos dessa disciplina