Logo Passei Direto
Buscar
Material
páginas com resultados encontrados.
páginas com resultados encontrados.

Prévia do material em texto

560 CHAPTER 15 
 
 
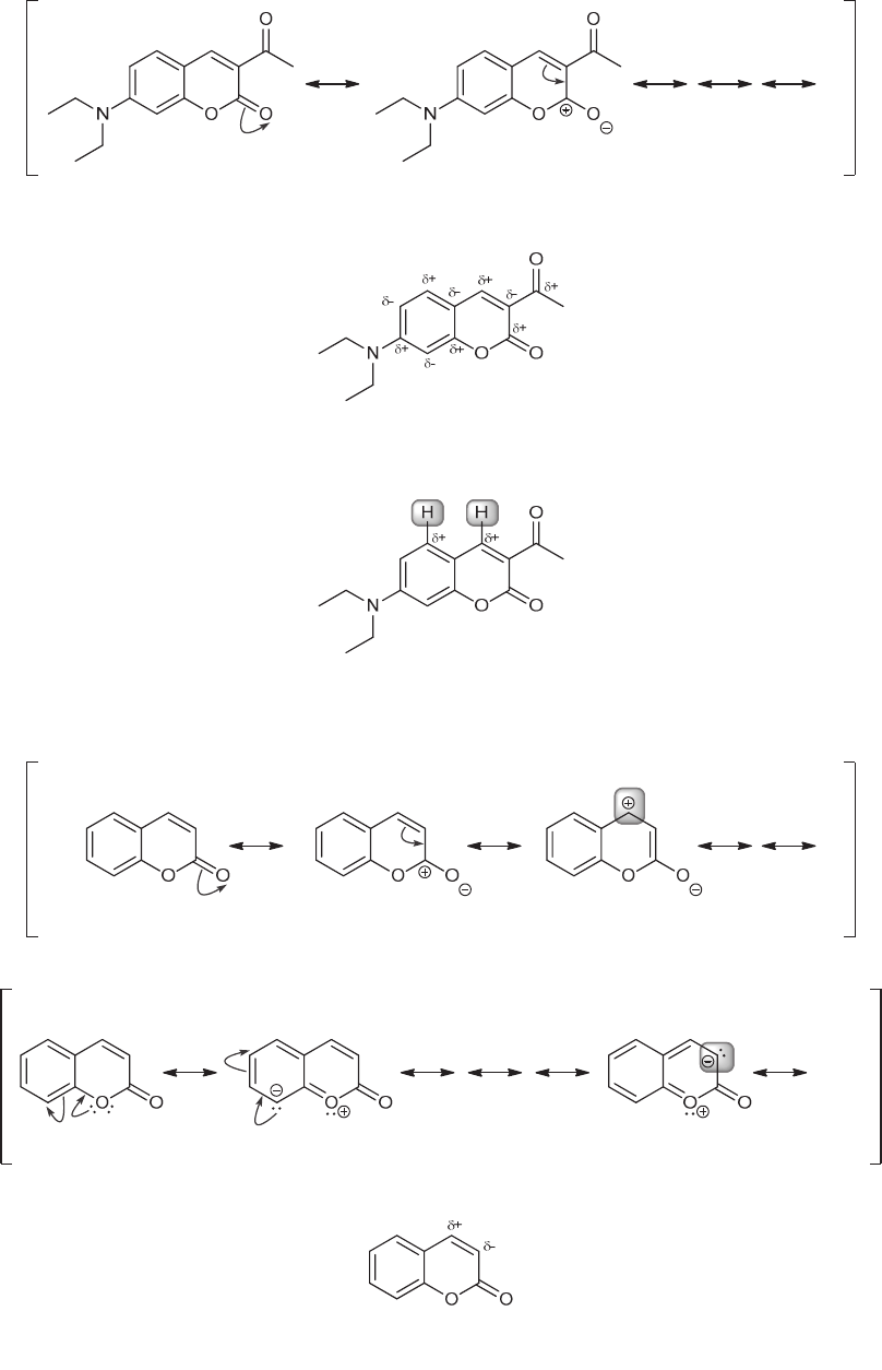
A similar effect is expected from the ester group: 
 
 
 
In summary, if we take into account all resonance effects (described above), the following picture emerges: 
 
 
 
 
Notice that only two protons are directly attached to electron-deficient centers: 
 
 
 
These are the two protons that are expected to produce the two signals farthest downfield in the proton NMR spectrum. 
 
(b) In compound 1, the C4 position is electron-deficient, as seen in the third resonance structure below: 
 
 
 
and the C3 position is electron-rich, as highlighted below: 
 
 
 
As a result, the C3-C4  bond is highly polarized and is expected to produce a strong signal. 
 
 
 
www.MyEbookNiche.eCrater.com

Mais conteúdos dessa disciplina