Logo Passei Direto
Buscar
Material
páginas com resultados encontrados.
páginas com resultados encontrados.

Prévia do material em texto

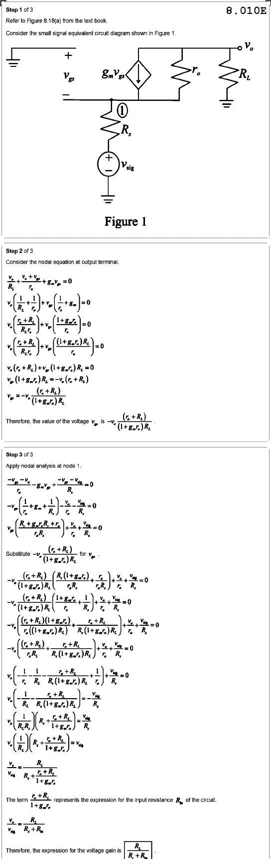
Step of 3 8.010E Refer to Figure 8.18(a) from the text book. Consider the small signal equivalent circuit diagram shown in Figure 1. + - 1 R, s + - Figure 1 Step of 3 Consider the nodal equation at output terminal. ro = Therefore, the value of the voltage is Step of 3 Apply nodal analysis at node 1. R, Substitute for + r.R, R, ro r. R, R, 1 1 R, 1 = R, 1 = R, 1 = = Vsig The term represents the expression for the input resistance of the circuit. = Vsig Therefore, the expression for the voltage gain is

Mais conteúdos dessa disciplina