Logo Passei Direto
Buscar
Material
páginas com resultados encontrados.
páginas com resultados encontrados.

Prévia do material em texto

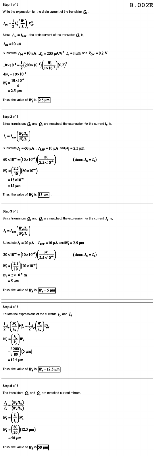
Step of 5 8.002E Write the expression for the drain current of the transistor Since = the drain current of the transistor is, = 10 µA Substitute = 10 = 200 4 = µm and = 0.2 V = 2.5 µm Thus, the value of W₁ is Step 2 of 5 Since transistors and are matched, the expression for the current is, I₂ Substitute I₂ = 60 , = 10 and W₁ = 2.5 W₂ = = 15 µm Thus, the value of is Step 3 of 5 Since transistors and are matched, the expression for the current is, = Substitute = 20 = 10 and = 2.5 (since, L₂ = 4) = m = 5 µm Thus, the value of W₃ is Step 4 of 5 Equate the expressions of the currents I₃ and 2 = 2 = = = 12.5 µm Thus, the value of is Step 5 of 5 The transistors and are matched current mirrors. = = = µm) = 50 µm Thus, the value of is 50 µm

Mais conteúdos dessa disciplina