Logo Passei Direto
Buscar

AVALIAÇÃO DE QUÍMICA 3º ANO 3º BIMESTRE PROF PRYCYLA BUSATO

Ferramentas de estudo

Questões resolvidas

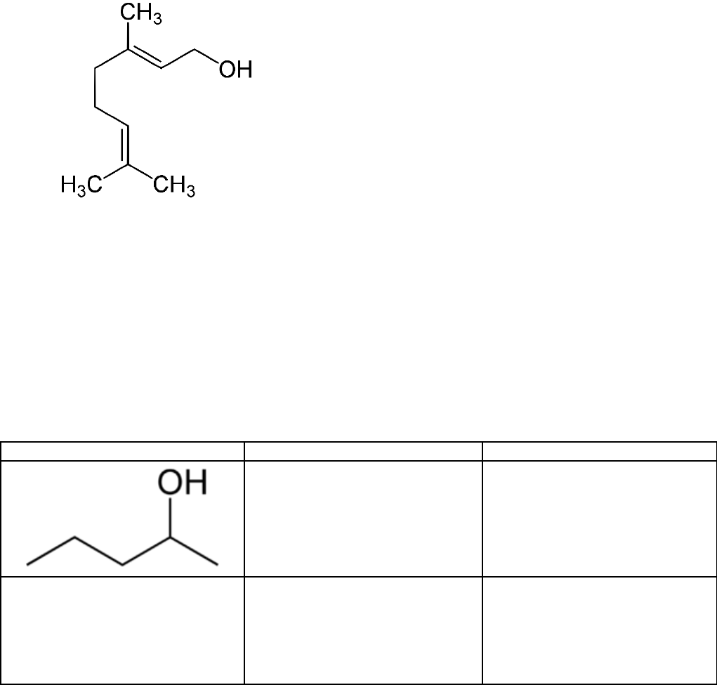
O geraniol é uma molécula que está presente nas rosas, gerânios e também na casca do limão. A respeito do geraniol, cuja fórmula estrutural é apresentada a seguir, responda:
Qual é o nome do geraniol, de acordo com a IUPAC?

A propanona, popularmente conhecida como acetona, é um líquido de odor agradável na temperatura ambiente. Sobre este composto orgânico, responda ao que se pede.
Sabendo que a molécula da cetona contém seis átomos de hidrogênio e um átomo de oxigênio, ligados a três átomos de carbono, represente a fórmula estrutural plana dessa substância.

A vitamina K é encontrada principalmente em vegetais escuros e, no organismo humano, tem papel essencial na coagulação sanguínea, no desenvolvimento do metabolismo ósseo e também no sistema vascular. Essa vitamina apresenta-se em diferentes formas, sendo a representada na figura a forma K3, ou menadinona.
A partir da fórmula estrutural, é possível determinar que a vitamina K3 pode ser classificada como:
cetona cíclica.
álcool cíclico.
aldeído cíclico.
ácido carboxílico.
difenol

Relacione o nome do composto orgânico com sua caracterização, conforme o grupo funcional.
( ) Presença de uma carbonila ligada a um hidrogênio, formando uma carboxila.
( ) Presença de uma hidroxila (OH) ligada diretamente a um anel benzênico (anel aromático).
( ) Presença de uma carbonila ligada a um hidrogênio, formando uma aldoxila.
( ) Presença de uma hidroxila (OH) ligada a um carbono saturado.
( ) Presença de uma carbonila ligada a dois outros carbonos.
Álcool
Fenol
Cetona
Aldeído
Ácido carboxílico

Material
páginas com resultados encontrados.
páginas com resultados encontrados.
left-side-bubbles-backgroundright-side-bubbles-background

Crie sua conta grátis para liberar esse material. 🤩

Já tem uma conta?

Ao continuar, você aceita os Termos de Uso e Política de Privacidade

left-side-bubbles-backgroundright-side-bubbles-background

Crie sua conta grátis para liberar esse material. 🤩

Já tem uma conta?

Ao continuar, você aceita os Termos de Uso e Política de Privacidade

left-side-bubbles-backgroundright-side-bubbles-background

Crie sua conta grátis para liberar esse material. 🤩

Já tem uma conta?

Ao continuar, você aceita os Termos de Uso e Política de Privacidade

Questões resolvidas

O geraniol é uma molécula que está presente nas rosas, gerânios e também na casca do limão. A respeito do geraniol, cuja fórmula estrutural é apresentada a seguir, responda:
Qual é o nome do geraniol, de acordo com a IUPAC?

A propanona, popularmente conhecida como acetona, é um líquido de odor agradável na temperatura ambiente. Sobre este composto orgânico, responda ao que se pede.
Sabendo que a molécula da cetona contém seis átomos de hidrogênio e um átomo de oxigênio, ligados a três átomos de carbono, represente a fórmula estrutural plana dessa substância.

A vitamina K é encontrada principalmente em vegetais escuros e, no organismo humano, tem papel essencial na coagulação sanguínea, no desenvolvimento do metabolismo ósseo e também no sistema vascular. Essa vitamina apresenta-se em diferentes formas, sendo a representada na figura a forma K3, ou menadinona.
A partir da fórmula estrutural, é possível determinar que a vitamina K3 pode ser classificada como:
cetona cíclica.
álcool cíclico.
aldeído cíclico.
ácido carboxílico.
difenol

Relacione o nome do composto orgânico com sua caracterização, conforme o grupo funcional.
( ) Presença de uma carbonila ligada a um hidrogênio, formando uma carboxila.
( ) Presença de uma hidroxila (OH) ligada diretamente a um anel benzênico (anel aromático).
( ) Presença de uma carbonila ligada a um hidrogênio, formando uma aldoxila.
( ) Presença de uma hidroxila (OH) ligada a um carbono saturado.
( ) Presença de uma carbonila ligada a dois outros carbonos.
Álcool
Fenol
Cetona
Aldeído
Ácido carboxílico

Prévia do material em texto

Colégio Estadual Arnaldo Busato – Ensino Fundamental e Médio
Aluno ________________________________________________ Nº
 ________ 3º Ano A 
Profº Prycyla Paola de Paula Valor: 7,0 Nota:______________
AVALIAÇÃO DE QUÍMICA - 3º BIMESTRE
Avaliação será individual sem consulta ao caderno.
1) O geraniol é uma molécula que está presente nas rosas, gerânios e também na casca do limão. A respeito do geraniol, cuja fórmula estrutural é apresentada a seguir, responda: (1,0)
a) Qual é sua fórmula molecular?
_____________________________________________________________________
b) A qual função orgânica pertence?
_____________________________________________________________________
c) Qual é o nome do geraniol, de acordo com a IUPAC?
_____________________________________________________________________
2- Complete a tabela a seguir. (2,0)
	Fórmula estrutural
	Nomenclatura IUPAC
	Função
	
	
	
	
	Metilpropanal
	
	
	
	
	
	Ácido 4-metilpentanoico
	
	
	Fenol 
	
3- Observe o composto orgânico abaixo e marque a alternativa que corresponde à nomenclatura correta. (0,5)
QUÍMICA EM, MOD14, p. 02 – sem título. 
a) -2-metilfenol
b) 3- metilfenol
c) 4- metilfenol
d 1- metilfenol
e) 1- metilfenol
4- A propanona, popularmente conhecida como acetona, é um líquido de odor agradável na temperatura ambiente. Sobre este composto orgânico, responda ao que se pede. (1,5) 
a) Cetonas são empregadas principalmente na indústria de tintas e vernizes, mas também na extração de óleos de sementes vegetais. Qual a característica que esse composto apresenta?
 
b) Sabendo que a molécula da cetona contém seis átomos de hidrogênio e um átomo de oxigênio, ligados a três átomos de carbono, represente a fórmula estrutural plana dessa substância.
c) Qual o nome do composto representado na figura abaixo?
QUÍMICA EM, MOD14, p. 05 – sem título. 
5- A vitamina K é encontrada principalmente em vegetais escuros e, no organismo humano, tem papel essencial na coagulação sanguínea, no desenvolvimento do metabolismo ósseo e também no sistema vascular. Essa vitamina apresenta-se em diferentes formas, sendo a representada na figura a forma K3, ou menadinona. (1,0)
A partir da fórmula estrutural, é possível determinar que a vitamina K3 pode ser classificada como:
a) cetona cíclica.
b) álcool cíclico. 
c) aldeído cíclico.
d) ácido carboxílico.
e) difenol
6- Relacione o nome do composto orgânico com sua caracterização, conforme o grupo funcional.(1,0)
(a) Álcool
(b) Fenol
(c) Cetona
(d) Aldeído
(e) Ácido carboxílico
( ) Presença de uma carbonila ligada a um hidrogênio, formando uma carboxila. 
( ) Presença de uma hidroxila (OH) ligada diretamente a um anel benzênico (anel aromático).
( ) Presença de uma carbonila ligada a um hidrogênio, formando uma aldoxila. 
( ) Presença de uma hidroxila (OH) ligada a um carbono saturado. 
( ) Presença de uma carbonila ligada a dois outros carbonos.

Mais conteúdos dessa disciplina