Logo Passei Direto
Buscar
Material
páginas com resultados encontrados.
páginas com resultados encontrados.
left-side-bubbles-backgroundright-side-bubbles-background

Crie sua conta grátis para liberar esse material. 🤩

Já tem uma conta?

Ao continuar, você aceita os Termos de Uso e Política de Privacidade

left-side-bubbles-backgroundright-side-bubbles-background

Crie sua conta grátis para liberar esse material. 🤩

Já tem uma conta?

Ao continuar, você aceita os Termos de Uso e Política de Privacidade

Prévia do material em texto

QUESTÃO 59
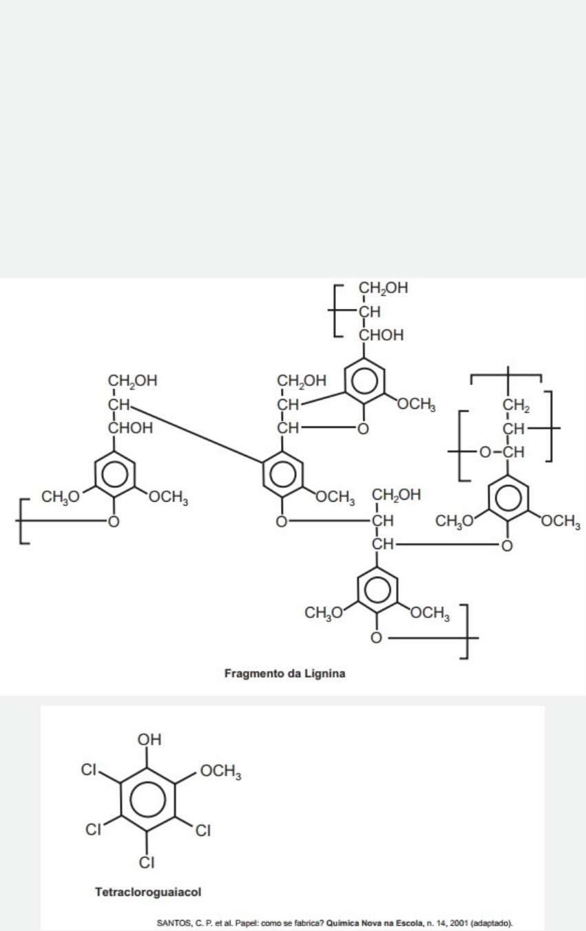
O papel tem na celulose sua matéria-prima, e uma das etapas de sua produção é o branqueamento, que visa remover a lignina da celulose. Diferentes processos de branqueamento usam, por exemplo, cloro (Cl2), hipoclorito de sódio (NaClO), oxigênio (O2), ozônio (O3) ou peróxido de hidrogênio (H2O2). Alguns processos de branqueamento levam à formação de compostos organoclorados. São apresentadas as estruturas de um fragmento da lignina e do tetracloroguaiacol, um dos organoclorados formados no processo de branqueamento.
COMPARTILHE
Os reagentes capazes de levar à formação de organoclorados no processo citado são
1. O2 e O3.
2. Cl2 e O2.
3. H2O2 e Cl2.
4. NaClO e O3.
5. NaClO e Cl2.
Comentário da questão
Os reagentes capazes de levar à formação de organoclorados no processo citado são NaClO e Cl2, pois apresentam cloro em sua formação.
Equipe Descomplica
A melhor equipe de professores do Brasil ;)
Gabarito da questão
Opção E
Questões correspondentes
0 0 0 0
Assunto
cloro
compostos organoclorados

Mais conteúdos dessa disciplina