Logo Passei Direto
Buscar
Material
páginas com resultados encontrados.
páginas com resultados encontrados.
left-side-bubbles-backgroundright-side-bubbles-background

Crie sua conta grátis para liberar esse material. 🤩

Já tem uma conta?

Ao continuar, você aceita os Termos de Uso e Política de Privacidade

left-side-bubbles-backgroundright-side-bubbles-background

Crie sua conta grátis para liberar esse material. 🤩

Já tem uma conta?

Ao continuar, você aceita os Termos de Uso e Política de Privacidade

Prévia do material em texto

59 
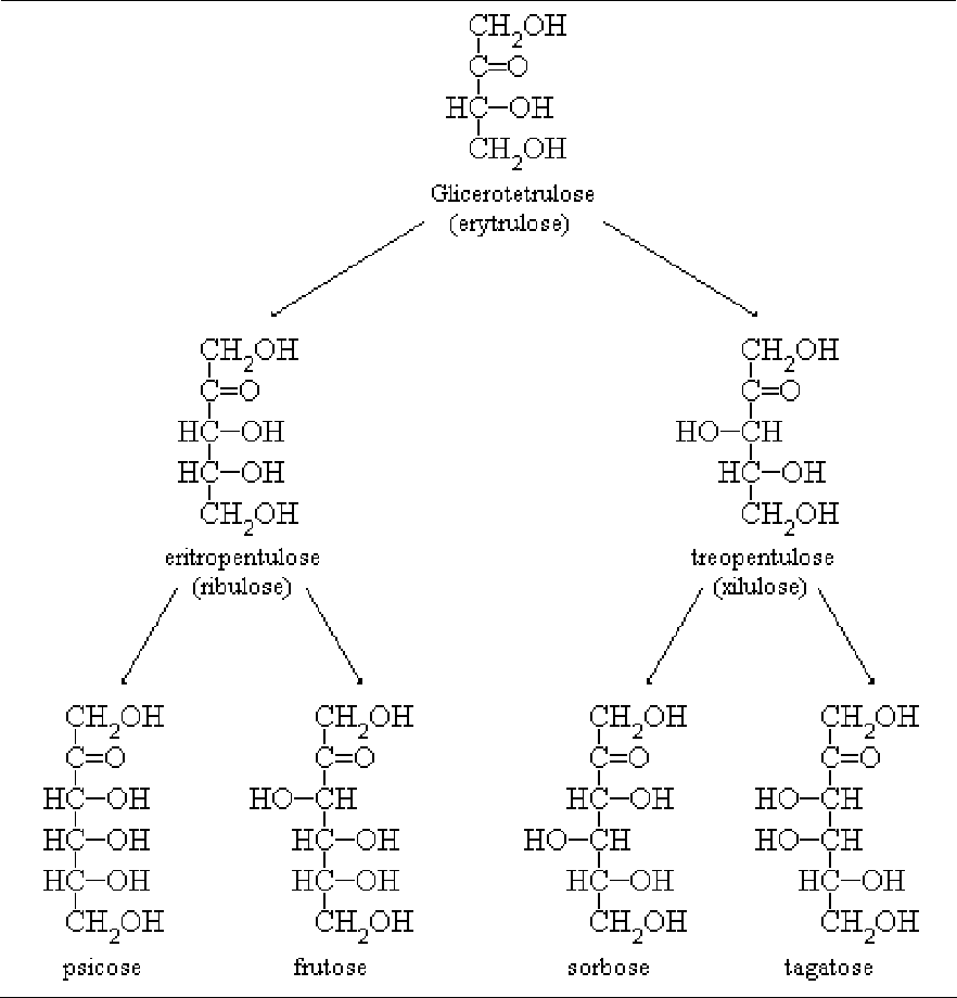
Quadro XVI.3. Família das cetoses D 
 
 60 
Figura XVI.8b. Ciclização da D-Frutose em anéis de 6 membros 
O
OH
OH
OH
OH
CH2OHO OH
OH
OH
OH CH2OH
β-D-Frutopiranose α-D-Frutopiranose
CH2OH
CH2OH
O
H
OH
OH
HO
H
H
ou
O
C
O
CH2OH
OH
OH
OH
H
O
C
CH2OH
O
OH
OH
OH
H
 
 
 Semelhantemente às aldoses, as reações químicas nas cetoses são praticamente as mesmas com exceção de 
duas reações, que são usadas como teste para distinguir entre aldoses e cetoses. O primeiro teste, conhecido como 
reação de Seliwanoff, baseia-se na reação em meio ácido do açúcar com resorcina. As cetoses reagem mais rapidamente 
do que as aldoses, desidratando-se, formando o furfural que, em seguida, reage com a resorcina produzindo uma 
coloração vermelho escura, enquanto que as aldoses demoram mais para reagir e produzem uma coloração mais clara 
Figura XVI.9). O segundo teste, já citado, é a reação de Tollens (espelho de prata), que fornece teste positivo para 
aldeídos. 
 
Figura XVI.9. Reação de Seliwanoff para a Frutose 
2
O
CH2OH
OH
HO
OH
CH2OH
O
CCH2OH
O
H
[H+]
- 3 H2O
[H+], 0,5 O2
OH
OH
3 H2O
O
O
OHO
CH2OH
Furfural
α-D-Frutose
Resorcina
 
 
 Dissacarídeos 
 
 Já foi visto que aldeídos e cetonas reagem com alcoóis formando hemiacetais e acetais segundo o esquema 
abaixo. 
R"OHR C
R'
O + R C
R'
OH
OR"
R"OH
R C
R'
OR"
OR"
hemiacetal acetal 
 A ciclização de um monossacarídeo é exatamente a formação de um hemiacetal pela reação da carbonila com 
qualquer das hidroxilas do açúcar formando um composto cíclico. A possibilidade do carbono carbonílico reagir mais 
uma vez com uma hidroxila formando o acetal, permite que dois monossacarídeos se juntem formando um dissacarídeo. 
Portanto, o carbono anomérico livre de um monossacarídeo pode reagir com qualquer hidroxila de um outro açúcar, 
produzindo junções 1,1; 1,2; 1,3; etc. no caso das aldoses e junções 2,1; 2,2; 2,3; etc. no caso das cetoses. O exemplo da 
Figura XVI.10 ilustra o caso para a β-D-Glicose.

Mais conteúdos dessa disciplina