Logo Passei Direto
Buscar
Material
páginas com resultados encontrados.
páginas com resultados encontrados.
left-side-bubbles-backgroundright-side-bubbles-background

Crie sua conta grátis para liberar esse material. 🤩

Já tem uma conta?

Ao continuar, você aceita os Termos de Uso e Política de Privacidade

left-side-bubbles-backgroundright-side-bubbles-background

Crie sua conta grátis para liberar esse material. 🤩

Já tem uma conta?

Ao continuar, você aceita os Termos de Uso e Política de Privacidade

left-side-bubbles-backgroundright-side-bubbles-background

Crie sua conta grátis para liberar esse material. 🤩

Já tem uma conta?

Ao continuar, você aceita os Termos de Uso e Política de Privacidade

left-side-bubbles-backgroundright-side-bubbles-background

Crie sua conta grátis para liberar esse material. 🤩

Já tem uma conta?

Ao continuar, você aceita os Termos de Uso e Política de Privacidade

Prévia do material em texto

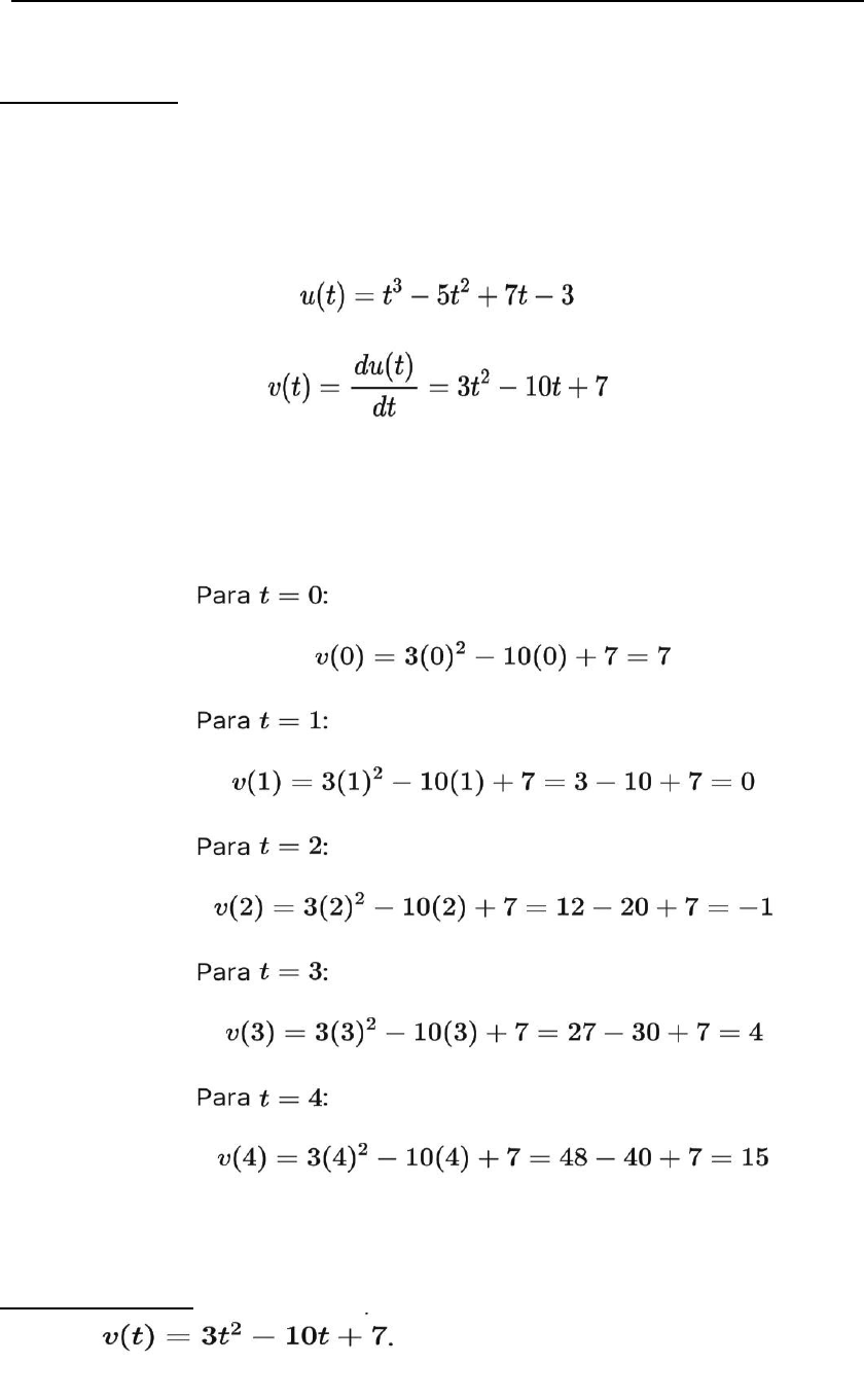
<p>ATIVIDADE CONTEXTUALIZADA SOBRE CÁLCULO DIFERENCIAL.</p><p>Primeiro passo: Para determinar as velocidades, primeiro foi preciso encontrar a derivada da função u(t), que representa a posição do carro em função do tempo t. A derivada de u(t) nos deu a função da velocidade v(t).</p><p>Foi necessário calcular a velocidade para cinco valores diferentes de t: 0,1,2,3 e 4.</p><p>Segundo passo: Para construir o gráfico da velocidade foi usado a seguinte função</p><p>Terceiro passo: Para encontrar a aceleração, foi necessário a segunda derivada de u(t), que é a derivada de v(t).</p><p>Sabemos que a velocidade é zero quando t=1. Então, calculamos a aceleração para t=1</p><p>Conclusão: O cálculo diferencial desempenha um papel fundamental na engenharia e no design de atrações como montanhas-russas em parques de diversões, contribuindo significativamente para garantir a segurança e a experiência dos usuários.</p><p>1. Análise de Velocidade e Aceleração: O cálculo diferencial permite calcular a velocidade e a aceleração em diferentes pontos da montanha-russa, auxiliando os engenheiros a projetar curvas, subidas e descidas que garantam uma experiência emocionante, mas segura, para os usuários. A compreensão da variação da velocidade e da aceleração ao longo do percurso é crucial para evitar forças excessivas que possam representar riscos à segurança dos passageiros.</p><p>2. Cálculo de Forças e Pressões: O cálculo diferencial também é essencial para determinar as forças que atuam sobre os carrinhos da montanha-russa, como a força centrípeta nas curvas ou a força de atrito nos trilhos. Essas informações são fundamentais para garantir que a estrutura da atração seja dimensionada adequadamente e que os materiais utilizados sejam capazes de suportar as cargas impostas durante o funcionamento.</p><p>3. Estudo de Trajetórias e Inclinações: A análise de trajetórias e inclinações das montanhas-russas, com o auxílio do cálculo diferencial, permite aos projetistas criar layouts empolgantes e seguros. O cálculo de tangentes e derivadas das curvas possibilita conceber trajetórias suaves e emocionantes, evitando mudanças bruscas que possam causar desconforto ou insegurança aos passageiros.</p><p>4. Otimização do Design: Através do cálculo diferencial, é possível otimizar o design da montanha-russa para proporcionar uma experiência mais consistente e segura. A análise de funções, limites e derivadas permite ajustar parâmetros como velocidade máxima, inclinação das curvas e espaçamento entre os carrinhos, resultando em um equilíbrio ideal entre divertimento e segurança. Em resumo, o cálculo diferencial desempenha um papel crucial na concepção e operação segura de montanhas-russas e outras atrações de parques de diversões. Ao aplicar os princípios matemáticos do cálculo, os engenheiros e projetistas podem garantir que os brinquedos ofereçam uma experiência emocionante e segura para os usuários, minimizando os riscos e proporcionando momentos inesquecíveis de diversão e entretenimento.</p><p>image1.jpeg</p><p>image2.jpeg</p><p>image3.jpeg</p><p>image4.jpeg</p><p>image5.jpeg</p><p>image6.jpeg</p>

Mais conteúdos dessa disciplina