Logo Passei Direto
Buscar
Material
páginas com resultados encontrados.
páginas com resultados encontrados.

Prévia do material em texto

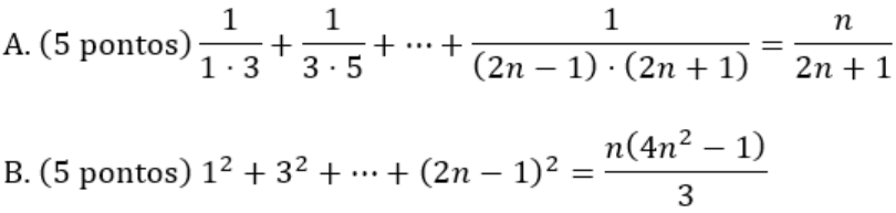
A indução matemática é uma técnica de demonstração bastante utilizada para provar proposições que envolvem todos os números naturais a partir de um certo valor. Esse método baseia-se na ideia de que, se conseguimos provar que uma afirmação é verdadeira para um caso inicial (passo base), e que, assumindo-a verdadeira para um número genérico n, conseguimos demonstrar que ela também é verdadeira para o próximo número n + 1 (passo indutivo), então podemos concluir que a afirmação vale para todos os números naturais a partir do valor inicial.
Esse método é comparável a um “efeito dominó”: ao garantir que o primeiro dominó cai (passo base) e que cada dominó empurra o próximo (passo indutivo), garantimos que todos os dominós cairão.
A indução matemática é frequentemente utilizada para comprovar igualdades envolvendo somas, fórmulas recursivas, divisibilidade, entre outros contextos.
Com base no texto introdutório sobre o método de indução matemática, utilize esse tipo de demonstração para justificar a veracidade das proposições a seguir, para n ≥ 1:
image1.png
image2.png
image3.jpeg

Mais conteúdos dessa disciplina