Logo Passei Direto
Buscar
Material
páginas com resultados encontrados.
páginas com resultados encontrados.

Prévia do material em texto

CHAPTER 4 115 
 
 
 
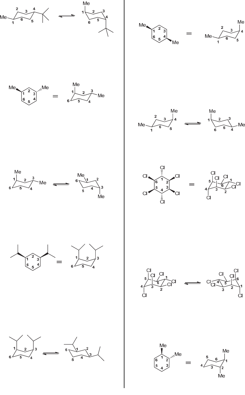
(f) Begin by assigning a numbering system, and then 
determine the location and three-dimensional orientation 
of each substituent. In this case, there is a methyl group 
at C-1, which is up, and another methyl group at C-3, 
which is down: 
 
 
 
When assigning the numbers to the chair drawing, the 
first number can be placed anywhere on the ring (as long 
as the numbers go clockwise), as explained in the 
solution to part (a) of this problem. 
Finally, we draw the second chair conformation, 
once again using a numbering system. Notice that a ring 
flip causes all equatorial groups to become axial groups, 
and vice versa. 
 
 
 
(g) Begin by assigning a numbering system, and then 
determine the location and three-dimensional orientation 
of each substituent. In this case, there is an isopropyl 
group at C-1, which is up, and another isopropyl group at 
C-3, which is also up: 
 
 
 
When assigning the numbers to the chair drawing, the 
first number can be placed anywhere on the ring (as long 
as the numbers go clockwise), as explained in the 
solution to part (a) of this problem. 
Finally, we draw the second chair conformation, 
once again using a numbering system. Notice that a ring 
flip causes all equatorial groups to become axial groups, 
and vice versa. 
 
 
 
(h) Begin by assigning a numbering system, and then 
determine the location and three-dimensional orientation 
of each substituent. In this case, there is a methyl group 
at C-1, which is up, and another methyl group at C-4, 
which is also up: 
 
 
 
When assigning the numbers to the chair drawing, the 
first number can be placed anywhere on the ring (as long 
as the numbers go clockwise), as explained in the 
solution to part (a) of this problem. 
Finally, we draw the second chair conformation, 
once again using a numbering system. Notice that a ring 
flip causes all equatorial groups to become axial groups, 
and vice versa. 
 
 
 
4.29. Begin by assigning a numbering system, and then 
determine the location and three-dimensional orientation 
of each substituent: 
 
 
 
When assigning the numbers to the chair drawing, the 
first number can be placed anywhere on the ring (as long 
as the numbers go clockwise), as explained in the 
solution to part (a) of the previous problem. 
Finally, we draw the second chair conformation, 
once again using a numbering system. Notice that a ring 
flip causes all equatorial groups to become axial groups, 
and vice versa. 
 
 
 
4.30. 
(a) Begin by assigning a numbering system, and then 
determine the location and three-dimensional orientation 
of each substituent. In this case, there is a methyl group 
at C-1, which is up, and a methyl group at C-2, which is 
down: 
 
 
www.MyEbookNiche.eCrater.com

Mais conteúdos dessa disciplina