Logo Passei Direto
Buscar

Cálculo Diferencial e Integral II (MAD103) - Avaliação final discursiva UNIASSELVI

Ferramentas de estudo

Questões resolvidas

Análogo a funções de uma variável, podemos definir que o domínio de uma função de duas variáveis f é o conjunto de todos os pontos (x, y), tais que a função f (x, y) pode ser calculada. Determine o domínio da função a seguir, apresentando os cálculos para justificar.


Material
páginas com resultados encontrados.
páginas com resultados encontrados.
left-side-bubbles-backgroundright-side-bubbles-background

Experimente o Premium!star struck emoji

Acesse conteúdos dessa e de diversas outras disciplinas.

Libere conteúdos
sem pagar

Ajude estudantes e ganhe conteúdos liberados!

left-side-bubbles-backgroundright-side-bubbles-background

Experimente o Premium!star struck emoji

Acesse conteúdos dessa e de diversas outras disciplinas.

Libere conteúdos
sem pagar

Ajude estudantes e ganhe conteúdos liberados!

Questões resolvidas

Análogo a funções de uma variável, podemos definir que o domínio de uma função de duas variáveis f é o conjunto de todos os pontos (x, y), tais que a função f (x, y) pode ser calculada. Determine o domínio da função a seguir, apresentando os cálculos para justificar.


Prévia do material em texto

Disciplina:
	Cálculo Diferencial e Integral II (MAD103)
	Avaliação:
	Avaliação Final (Discursiva) - Individual FLEX ( Cod.:512671) ( peso.:4,00)
	Prova:
	17802099
	Nota da Prova:
	-
	
	
Parte superior do formulário
	1.
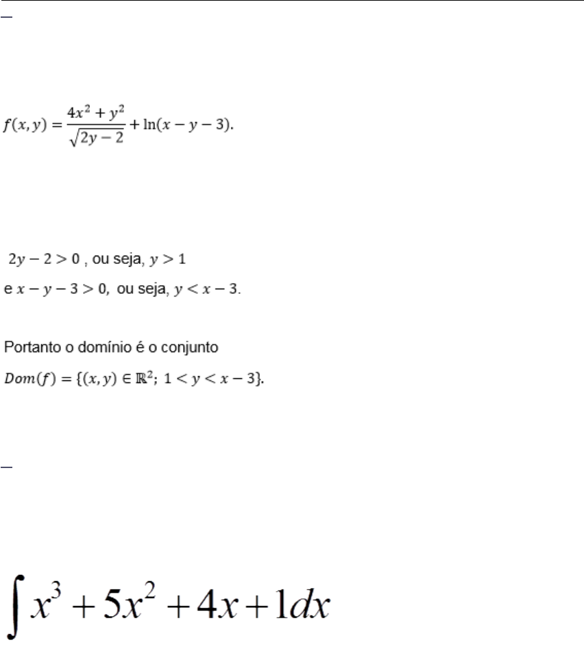
	Análogo a funções de uma variável, podemos definir que o domínio de uma função de duas variáveis f é o conjunto de todos os pontos (x, y), tais que a função f (x, y) pode ser calculada. Determine o domínio da função a seguir, apresentando os cálculos para justificar.
	
	Resposta Esperada:
Precisamos determinar os valores de x e y que podemos aplicar a função
	2.
	Com relação ao conceito de integral, existem várias aplicações que podemos destacar, principalmente na área das engenharias. A relação entre as derivadas e integrais tornou-se uma das ferramentas mais poderosas para analisar diversos fenômenos. O primeiro passo para se construir o conceito de integral é estudar alguns critérios de cálculo. Resolva a integral indefinida a seguir:
	
	Resposta Esperada:
Parte inferior do formulário

Mais conteúdos dessa disciplina