Logo Passei Direto
Buscar
Material
páginas com resultados encontrados.
páginas com resultados encontrados.

Prévia do material em texto

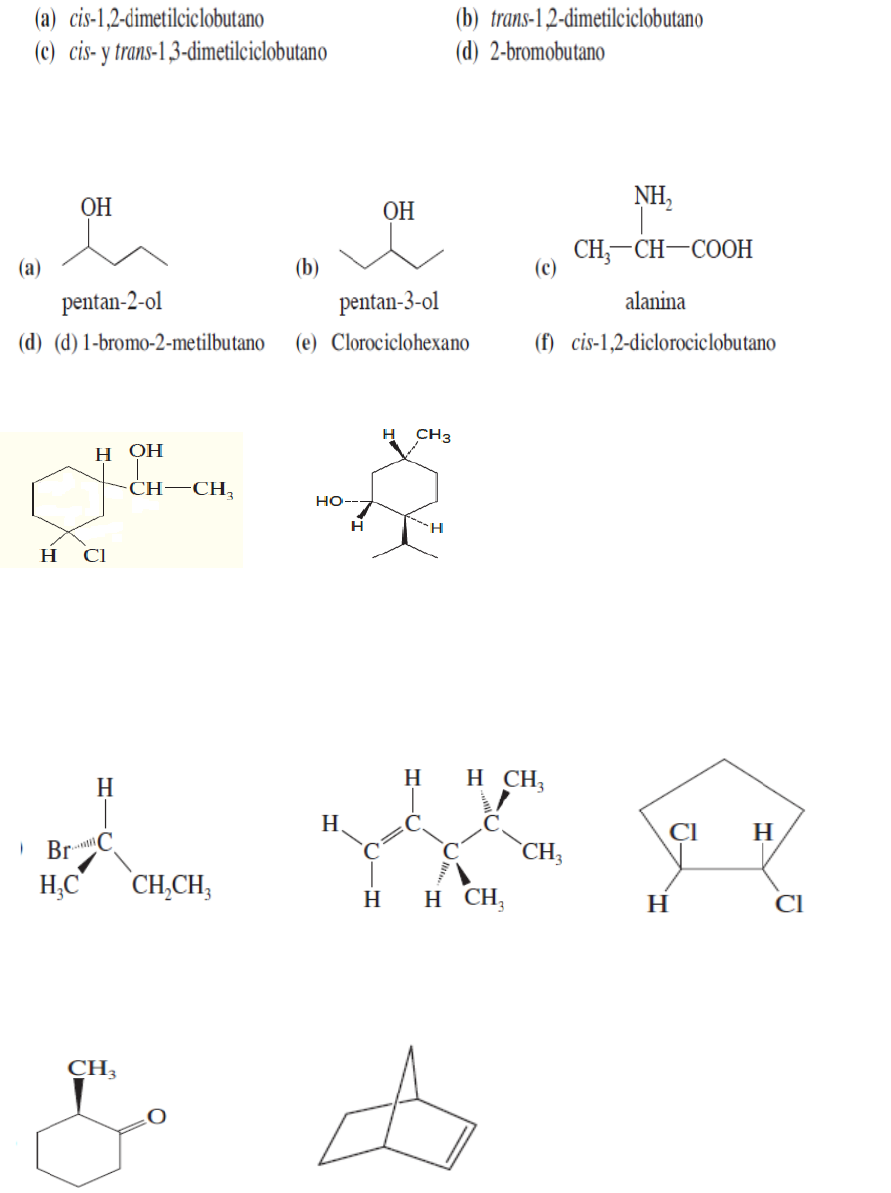
TALLER DE ESTEREOQUIMICA 
1. Dibuje la imagen especular de las siguientes estructuras y determine si la imagen especular 
corresponde al mismo compuesto. Marque cada estructura como quiral o aquiral y marque los 
pares de enantiómeros 
 
 
2. En los siguientes compuestos , Marque con un asterisco todos los átomos de carbono asimétricos 
 
 g) h) 
 
 
3. Marque con un asterisco los átomos de carbono asimétrico de los siguientes compuestos y 
determina su configuración (R ) o (S) 
A. B. C. 
 
 
 D. E. 
 
 
 
 
 
4. Resuelve los siguientes ejercicios 
a. 
 
b. 
 
 
 
5. En cada par de compuesto, identifique cuáles son diasterómeros 
 
 
 
 
 
 
6. Identifique cuál de los siguientes compuestos son meso 
 
7. Determine si de la reacción de hidratación del 2-penteno se puede obtener una mezcla racémica. En 
el caso de obtener los enantiómeros correspondientes de la mezcla racémica, diseñe un mecanismo 
de resolución de esta mezcla racémica.

Mais conteúdos dessa disciplina