Logo Passei Direto
Buscar

Lista de Exercício 3 - Estereoquímica

User badge image
Layla Ribeiro

em

Material
páginas com resultados encontrados.
páginas com resultados encontrados.
left-side-bubbles-backgroundright-side-bubbles-background

Crie sua conta grátis para liberar esse material. 🤩

Já tem uma conta?

Ao continuar, você aceita os Termos de Uso e Política de Privacidade

left-side-bubbles-backgroundright-side-bubbles-background

Crie sua conta grátis para liberar esse material. 🤩

Já tem uma conta?

Ao continuar, você aceita os Termos de Uso e Política de Privacidade

Prévia do material em texto

Universidade Federal do Recôncavo da Bahia – UFRB 
Disciplina: Química Orgânica 
Curso: Engenharia Florestal 
Docente: Rafaela O. Ferreira 
 
Lista de Exercícios 03 - Estereoquímica 
 
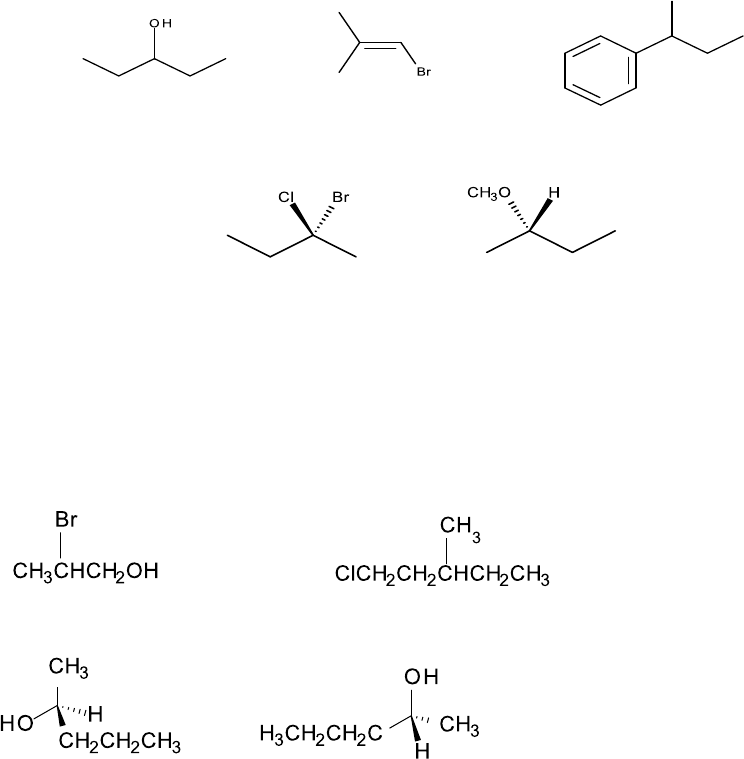
1. Quais dos seguintes compostos podem existir na forma quiral? Assinale o carbono 
assimétrico em cada caso. 
 
 
 
 
2. Identifique a configuração (R ou S) de cada carbono assimétrico nos seguintes 
compostos: 
 
 
3. Defina: 
a) enantiômeros 
b) composto dextrógiro 
c) composto levógiro 
d) mistura racêmica (racemato) 
 
4. Desenhe enantiômeros para cada uma das substâncias usando fórmulas em 
perspectiva. 
 
5. As estruturas seguintes são idênticas ou um par de enantiômeros? 
 
 
6. A rotação observada para 2,0 g de uma substância em 50 mL de solução em tubo de 
polarímetro de 50 cm de comprimento é + 13,4°. Qual a rotação específica da 
substância? 
 
7. (S)-(+)-glutamato monossódico (MSG) é uma substância usada para realçar o sabor 
de muitos alimentos. Algumas pessoas têm reações alérgicas ao MSG (dor de cabeça, 
dor torácica e sensação de fraqueza). Fast-food frequentemente contém quantidades 
substanciais de MSG, que também é usado em comida chinesa. MSG tem rotação 
específica de + 24°. 
a. Qual é a rotação específica de (R)-(-)-glutamato de sódio? 
b. Qual a rotação específica da mistura racêmica do MSG?

Mais conteúdos dessa disciplina