Logo Passei Direto
Buscar
Material
páginas com resultados encontrados.
páginas com resultados encontrados.
left-side-bubbles-backgroundright-side-bubbles-background

Crie sua conta grátis para liberar esse material. 🤩

Já tem uma conta?

Ao continuar, você aceita os Termos de Uso e Política de Privacidade

left-side-bubbles-backgroundright-side-bubbles-background

Crie sua conta grátis para liberar esse material. 🤩

Já tem uma conta?

Ao continuar, você aceita os Termos de Uso e Política de Privacidade

left-side-bubbles-backgroundright-side-bubbles-background

Crie sua conta grátis para liberar esse material. 🤩

Já tem uma conta?

Ao continuar, você aceita os Termos de Uso e Política de Privacidade

left-side-bubbles-backgroundright-side-bubbles-background

Crie sua conta grátis para liberar esse material. 🤩

Já tem uma conta?

Ao continuar, você aceita os Termos de Uso e Política de Privacidade

left-side-bubbles-backgroundright-side-bubbles-background

Crie sua conta grátis para liberar esse material. 🤩

Já tem uma conta?

Ao continuar, você aceita os Termos de Uso e Política de Privacidade

Prévia do material em texto

Universidade de Brasília Química Biológica	Prova I
Entrega até 23/10/2020 às 12h	Turma B
As questões devem ser respondidas a caneta.
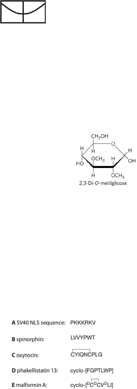
1. 	Determinação do conteúdo de ramificações na ami-lopectina A quantidade de ramificações (número de ligações glicosídicas (α1→6)) na amilopectina pode ser determinada pelo seguinte procedimento: uma amostra de amilopectina é metilada exaustivamente – tratada com um agente metilante (iodeto de metila) que substitui o hidrogênio de cada hidroxi-la dos resíduos de glicose por um grupo metila, convertendo -OH em -OCH3. Todas as ligações glicosídicas na amostra tratada são, então, hidrolisadas em uma solução aquosa áci-da, e a quantidade de 2,3-di-O- metilglicose assim formada é determinada.
a) Explique o princípio desse procedimento para a determi-nação do número de pontos de ramificação (α1→6) na amilopectina. O que acontece com os resíduos de glicose não ramificados da amilopectina durante o processo de metilação e hidrólise?
b) (b) Uma amostra de 258 mg de amilopectina tratada como descrito acima produziu 12,4 mg de 2,3-di-O-metilglicose. Determine a porcentagem de resíduos de glicose da amilo-pectina que continha uma ramificação (α1→6). (Assuma que a massa molecular média de um resíduo de glicose na amilopectina é de 162 g/mol.)
2. Uma mistura de lipídeos é aplicada a uma coluna de sílica gel, que é, então, lavada com solventes de polaridade crescente. A mistura con-siste em fosfatidilserina, fosfatidiletanolamina, fosfatidilcolina, palmitato de colesteril (éster de esterol), esfingomielina, palmi-tato, n-tetradecanol, triacilglicerol e colesterol. Em que ordem os lipídeos eluirão da coluna? Explique o raciocínio utilizado.
3. Desenhe a estrutura dos seguintes peptídeos na forma iônica dominante em pH = 7.
4. I. Prediga a sequência do(s) produto(s) que podem ser formados se a reação de PCR fosse realizada na simples fita abaixo (escala de 1µmol) usando DNA polimerase, excesso de primer, uma mistura de dNTPs e MgCl2.
II. Qual produto é esperado se o dATP fosse substituído com 2’,3’-dideoxyadenosine trifosfato (ddATP)?
III. Liste as sequências e rendimentos dos 4 produtos majoritários esperados se um quarto do dATP fosse substituído por ddATP.
5. EF-Tu se liga a todos os aminoacil-tRNAs com aproximadamente igual afinidade, de forma que ele pode entregar todos ao ribossomo com a mesma eficiência. Com base nas constantes de ligação determinadas experimentalmente para Ef-Tu e aminoacil- tRNAs correta e incorretamente carregados (ver Tabela), explique como o sistema de reconhecimento de tRNA-Ef-Tu pode impedir a incorporação de um aminoácido errado durante a tradução.
6. Um fator que contribui para o desenvolvimento da artrite é a destruição proteolítica inapropriada do componente agrecano da cartilagem pela enzima proteolítica agrecanase. A molécula de sinalização do sistema imune, a interleucina 2 (IL-2), ativa a agrecanase; com efeito, bloqueadores da IL-2 são algumas vezes utilizados no tratamento da artrite. Foram conduzidos estudos para determinar se inibidores da agrecanase podem contrabalançar os efeitos da IL-2. Fragmentos de cartilagem foram incubados em meios com várias adições, e a quantidade de destruição de agrecano foi medida em função do tempo.
a) A degradação de agrecano foi medida pela liberação de glicosaminoglicano. Qual é a base racional desse ensaio?
b) Por que a liberação de glicosaminoglicano poderia não indicar uma degradação de agrecano?
c) Qual é o propósito do controle – cartilagem incubada sem nenhuma adição?
d) Qual o efeito da adição de IL-2 ao sistema?
e) Qual é a resposta quando se adiciona um inibidor da agrecanase (ST154) além da IL- 2?
f) Por que ocorre alguma destruição de agrecano no controle com o passar do tempo?
7. A difusão transversa de fosfolipídios em uma membrana em bicamada foi investigada com o uso de um análogo da fosfatidilserina, denominado NBD-PS marcado com fluorescência.
O sinal de fluorescência da NBD-PS é extinto quando exposta à ditionita de sódio, um agente redutor ao qual a membrana não é permeável.
Vesículas lipídicas contendo fosfatidilserina (98%) e NBDPS (2%) foram preparadas por sonicação e purificadas. Dentro de poucos minutos após a adição de ditionita de sódio, o sinal de fluorescência dessas vesículas diminuiu para cerca de 45% do seu valor inicial. A adição imediata de uma segunda alíquota de ditionita de sódio não produziu nenhuma mudança no sinal de fluorescência. Entretanto, quando as vesículas foram incubadas por 6,5 h, a adição de uma terceira alíquota de ditionita de sódio diminuiu o sinal de fluorescência remanescente em 50%. Como você interpretaria as mudanças de fluorescência com cada adição de ditionita de sódio?
8. Sabe-se que o neurotransmissor ácido gama-aminobutírico liga-se a proteínas receptoras especificas do tecido nervoso. Planeje um protocolo para a purificação parcial da proteína receptora.
9. Proponha um mecanismo para a formação do -cedreno tendo como material de partida o pirofosfato de farnesila.
10. As membranas do peixe-gelo Antárctico, que vive a -3°C, apresentam ácidos graxos mais longos e/ou mais saturados em relação a peixes tropicais? Explique.
11. Os seguintes dados foram obtidos em experimentos feitos durante um estudo sobre a atividade de uma peptidase intestinal sobre o substrato glicilglicina.
Use a análise gráfica para determinar o Km e a Vmáx desta preparação de enzima sobre esse substrato.
12. Determine a sequência de um peptídio de 14 aminoácidos com base nos seguintes dados:
i. Composição dos aminoácidos: (4S, 2L, F, G, I, K, M, T, W, Y)
ii. Análise do N-terminal: S
iii. Digestão por carboxipeptidase: L
iv. Digestão por tripsina: (3S, 2L, F, I, M, T, W) (G, K, S, Y)
v. Digestão por quimiotripsina: (F, I, S) (G, K, L) (L, S) (M, T) (S, W) (S, Y)
vi. Análise do N-terminal do peptídio (F, I, S): S
vii. Tratamento com brometo de cianogênio: (2S, F, G, I, K, L, M*, T, Y) (2S, L, W) M*, metionina detectada como homosserina
13. A seguir, está representada uma porção de uma sequência de DNA selvagem que codifica os últimos aminoá- cidos de uma proteína de 270 aminoácidos. Os três primeiros pares de base em negrito indicam a fase de leitura e incluem a região codificadora.
a) Qual delas é a fita-molde para a transcrição deste gene? Explique brevemente sua escolha.
b) Uma inserção de um par de bases provoca a diminuição da proteína em sete aminoácidos. Com relação à sequência fornecida anteriormente, onde ocorre a inserção?
c) Uma alteração em um par de bases leva ao aumento da pro- teína em um aminoácido. Com relação à sequência for- necida anteriormente, qual par de bases você alteraria, e por qual par de bases você o trocaria para que a proteína aumentasse em um aminoácido?

Mais conteúdos dessa disciplina