Logo Passei Direto
Buscar
Material
páginas com resultados encontrados.
páginas com resultados encontrados.
left-side-bubbles-backgroundright-side-bubbles-background

Crie sua conta grátis para liberar esse material. 🤩

Já tem uma conta?

Ao continuar, você aceita os Termos de Uso e Política de Privacidade

left-side-bubbles-backgroundright-side-bubbles-background

Crie sua conta grátis para liberar esse material. 🤩

Já tem uma conta?

Ao continuar, você aceita os Termos de Uso e Política de Privacidade

Prévia do material em texto

202
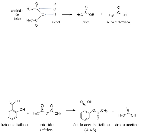
Como você viu no início do tópico, o anidrido acético é utili-
zado em grande escala na produção industrial de acetato de celulose. 
Como isto ocorre?
Acetato lembra qual função orgânica?
Lembra éster.
O anidrido acético ao reagir com a celulose forma um és-
ter. A celulose é constituída de unidades de glicose, um açúcar que tem 
na sua estrutura inúmeros grupos -OH (de álcool) (Figura 158).
Figura 158: reação de álcool com anidrido de ácido.
Fonte: autor.
Outra utilização industrial do anidrido acético é na fabricação 
do AAS (Figura 159). Você sabe o que é AAS? 
É o princípio da Aspirina, o medicamento usado há mais de um século 
para combater dor e febre. 
Figura 159: reação de obtenção do AAS.
Fonte: autor.
Observe que, neste caso, o anidrido reagiu com um fenol para 
originar um éster.
203
O anidrido acético é a substância mais importante desta função 
orgânica, mas qualquer composto que tenha o grupo funcional abaixo 
é um anidrido.
Os grupos R, em geral, são iguais, mas podem ser diferentes.
Outras fórmulas estruturais de anidridos:
Veja que há um anidrido cíclico. Como ele pode ser formado? 
Pense um pouco!
Ele é formado por uma reação de eliminação de água de um ácido 
dicarboxílico (Figura 160). 
Figura 160: reação de obtenção de um anidrido cíclico.
Fonte: autor.

Mais conteúdos dessa disciplina