Logo Passei Direto
Buscar
Material
páginas com resultados encontrados.
páginas com resultados encontrados.
left-side-bubbles-backgroundright-side-bubbles-background

Crie sua conta grátis para liberar esse material. 🤩

Já tem uma conta?

Ao continuar, você aceita os Termos de Uso e Política de Privacidade

Prévia do material em texto

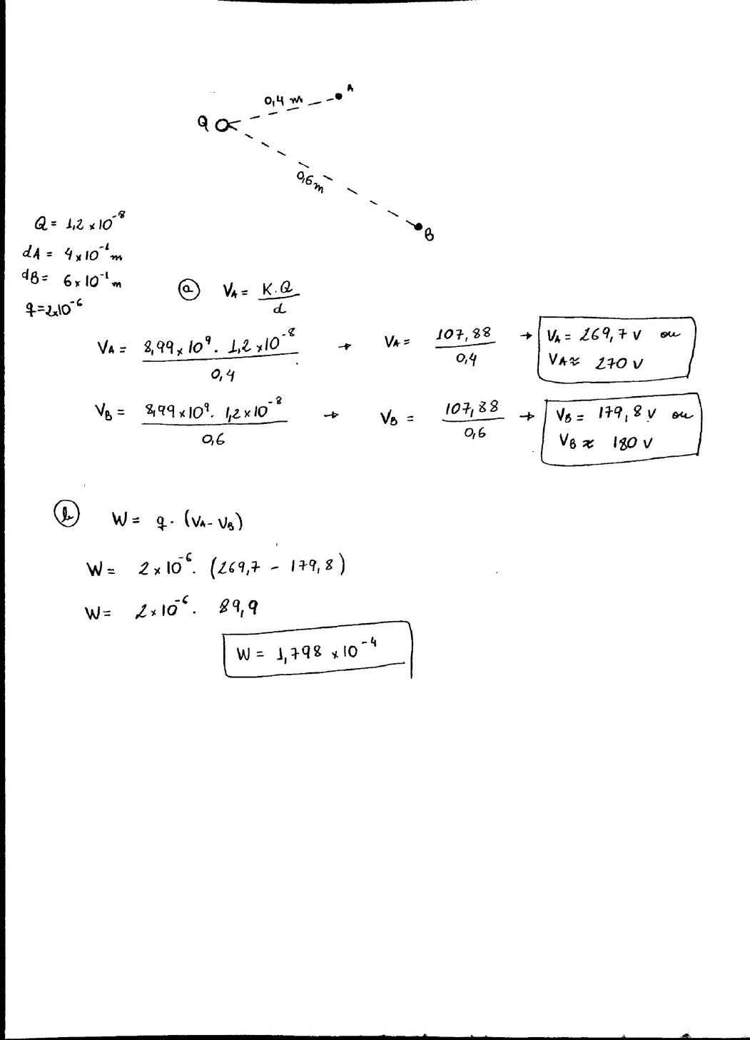
<p>A 0,4 m B dA= dB= a K.Q d 107,88 0,4 0,4 = 107,88 0,6 0,6 b q. W= 89,9</p>

Mais conteúdos dessa disciplina