Logo Passei Direto
Buscar
Material
páginas com resultados encontrados.
páginas com resultados encontrados.

Prévia do material em texto

374 CHAPTER 11 
 
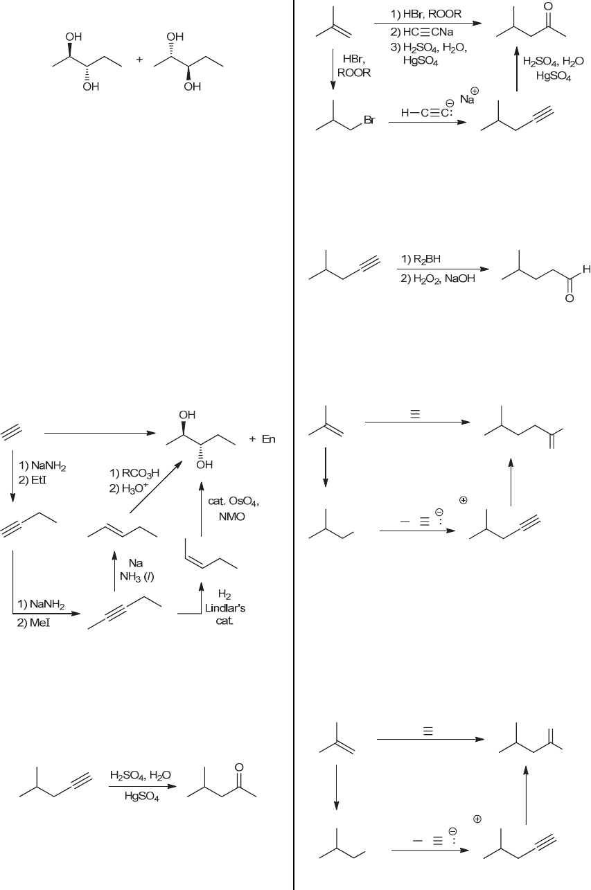
11.20. We begin by drawing the desired products: 
 
 
 
These compounds have five carbon atoms, but our 
starting materials can contain no more than two carbon 
atoms. So our synthesis must involve the formation of 
carbon-carbon bonds. This can be accomplished via the 
alkylation of acetylene (a compound with two carbon 
atoms). The location of the functional groups (C2 and 
C3) indicates that we need two alkylation processes (one 
to install a methyl group and the other to install an ethyl 
group). This places the triple bond between C2 and C3, 
which enables the installation of the functional groups at 
those locations. Conversion of the internal alkyne into 
the desired product requires the addition of H and H to 
give an alkene, followed by the addition of OH and OH. 
In order to achieve the correct stereochemical outcome, 
both of these addition processes must be performed in an 
anti fashion, or both must be performed in a syn fashion. 
That is, we can perform an anti addition of H and H, 
followed by an anti addition of OH and OH, or we can 
perform a syn addition of H and H, followed by a syn 
addition of OH and OH, as shown: 
 
 
 
11.21. 
(a) The starting material has four carbon atoms, and the 
product has six carbon atoms. So our synthesis must 
involve the installation of two carbon atoms. Also, the 
location of the functional group has been changed. The 
product is a methyl ketone, which can be made from a 
terminal alkyne (via acid catalyzed hydration): 
 
 
 
This alkyne can be made from the starting alkene via an 
anti-Markovnikov addition of HBr, followed by 
treatment with sodium acetylide, as shown here: 
 
 
 
(b) The starting material has four carbon atoms, and the 
product has six carbon atoms. So our synthesis must 
involve the installation of two carbon atoms. Also, the 
location of the functional group has been changed. The 
product is an aldehyde, which can be made from a 
terminal alkyne (via hydroboration-oxidation): 
 
 
 
As seen in the solution to part (a), this alkyne can be 
made from the starting alkene via an anti-Markovnikov 
addition of HBr, followed by treatment with sodium 
acetylide, as shown here: 
 
ROOR
HBr,
1) HBr, ROOR
2) HC CNa
C CH
Na
Br
1) R2BH
2) H2O2, NaOH
3) R2BH
4) H2O2, NaOH
H
O
 
 
(c) The starting material has four carbon atoms, and the 
product has five carbon atoms. We have not learned a 
direct way of installing only one carbon atom. That is, 
two carbon atoms are installed (not one) if we convert 
the starting alkene into an alkyl halide (via an anti-
Markovnikov addition), and then treat the alkyl halide 
with sodium acetylide. However, after installing two 
carbon atoms, we can remove one of them with 
ozonolysis, giving the product: 
 
ROOR
HBr,
1) HBr, ROOR
2) HC CNa
C CH
Na
OH
Br
1) O3
2) H2O
3) O3
4) H2O
O
 
 
 
www.MyEbookNiche.eCrater.com

Mais conteúdos dessa disciplina