Logo Passei Direto
Buscar
Material
páginas com resultados encontrados.
páginas com resultados encontrados.
left-side-bubbles-backgroundright-side-bubbles-background

Experimente o Premium!star struck emoji

Acesse conteúdos dessa e de diversas outras disciplinas.

Libere conteúdos
sem pagar

Ajude estudantes e ganhe conteúdos liberados!

left-side-bubbles-backgroundright-side-bubbles-background

Experimente o Premium!star struck emoji

Acesse conteúdos dessa e de diversas outras disciplinas.

Libere conteúdos
sem pagar

Ajude estudantes e ganhe conteúdos liberados!

left-side-bubbles-backgroundright-side-bubbles-background

Experimente o Premium!star struck emoji

Acesse conteúdos dessa e de diversas outras disciplinas.

Libere conteúdos
sem pagar

Ajude estudantes e ganhe conteúdos liberados!

Prévia do material em texto

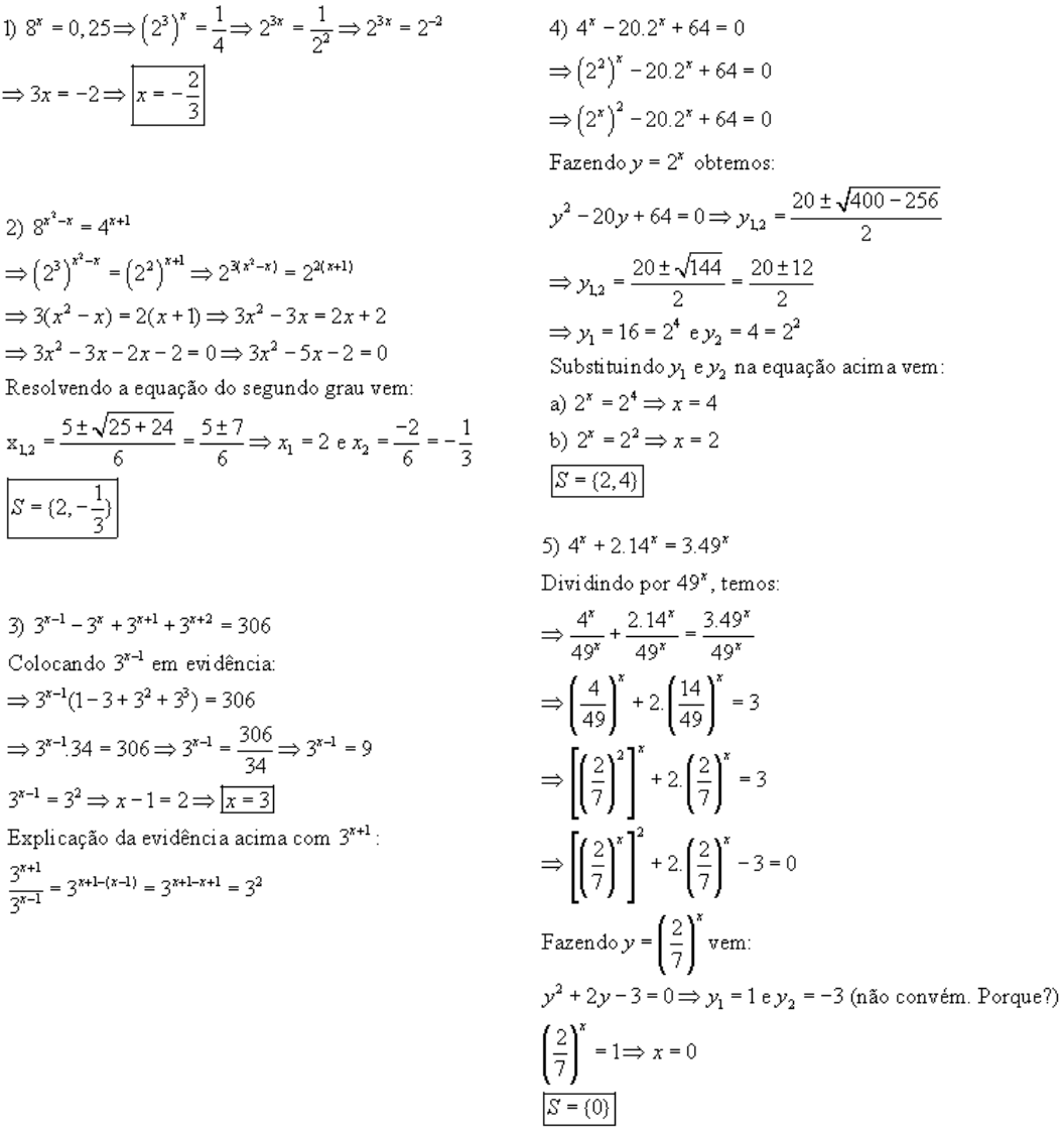
EQUAÇÕES EXPONENCIAIS – III UNIDADE
Exercícios Resolvidos 
Os exercícios foram selecionados visando apresentar técnicas de soluções diferenciadas.
 EXERCÍCIOS DE FIXAÇÃO – EQUAÇÕES EXPONENCIAIS
1) Resolva as seguintes equações exponenciais:
2 x + 1 = 1024 			R: 9
5 3x – 5 = 625 				R: 3
81 x = 243 				R: 5/4
4
-4x = 1 				R: 0 ; 2
100 x = 0,001 			R: -3/2
= 625 			R: 2; -2
= 32 				R: 1; -5
3x + 7 = 
				R: -13 
8
 = 1 				R: 3 ; -3
8x = 0,25 				R: -2/3
(0,2) x – 5 = 125 			R: 2
(0,125) x + 4 = 0,5 			R: -11/3
8
= 1 				R: 1; -2/5
8
= 4 x + 1 			R: 2 ; -1/3
27
 = 9 5x 			R: 3 ;1/3
(0,2)
=25x 			R: 0; -1
= 
			R: -23/6
= 9 				R: 4
8 2x +1 = 
			R: -11/16
= 
			R: 5 ; -3
= 2x-5 			R: 6; -2
 = 
�� EMBED Equation.3 			R: -8/3
 = 
 				R: -15/4
 = 
 			R: 9/4
(0,01)x = 
			R: 3/4
= 
 			R: 3/8
(0,01) x + 1 = (0,001)
		R: 2; -1/3
27 2x – 1 = 
 			R: 2/3
= 
			R: 2
2 3x – 1 . 4 2x + 3 = 8 3 – x		R: 2/5
2) O resultado da equação exponencial 
é igual a:
4		b) 2			c) – 2			d) – 4			e) 0
3) A solução da equação 
 é:
a) 
		b) 
			c) 
			d) 
		e) 
4) O resultado da equação exponencial 
tem solução para:
 a) x = 0 		 b) x = 2 		 c) x = 1		 d) x = 3		 e) x = - 2
5) Descubra o valor de x e y .
6) Resolva as equações exponenciais:	 
a)
 b)
 c)
7) (U. E. FEIRA DE SANTANA - BA) O produto das soluções da equação (43 - x)2 - x = 1 é:
 a) 0
 b) 1
 c) 4
 d) 5
 e) 6
8) (JAMBO/PV) A solução de 
 é:
um múltiplo de 16;
um múltiplo de 9;
um número primo;
um divisor de 8;
um primo com 48.
9) (JAMBO/PV) Se
 então os valores de x são:
1 e 3
2 e 3
1 e 2
1 e 4
2 e 4
10) (JAMBO/PV) A soma dos valores de x que resolvem a equação 
 é:
6
4
0
3
n.d.a.
_1279712338.unknown
_1279712709.unknown
_1279715749.unknown
_1342892924.unknown
_1342896039.unknown
_1342896088.unknown
_1342896101.unknown
_1342896070.unknown
_1342895869.unknown
_1342895999.unknown
_1342894438.unknown
_1279715762.unknown
_1281609666.unknown
_1279712882.unknown
_1279712977.unknown
_1279713004.unknown
_1279712764.unknown
_1279712476.unknown
_1279712642.unknown
_1279712681.unknown
_1279712522.unknown
_1279712408.unknown
_1279712438.unknown
_1279712367.unknown
_1279711551.unknown
_1279711777.unknown
_1279712173.unknown
_1279712303.unknown
_1279712061.unknown
_1279711691.unknown
_1279711725.unknown
_1279711619.unknown
_1279711145.unknown
_1279711346.unknown
_1279711391.unknown
_1279711172.unknown
_1208843282.unknown
_1279711046.unknown
_1279711076.unknown
_1279710823.unknown
_1208843724.unknown
_1154630425.unknown
_1208843005.unknown
_1154625954.unknown
_1154626138.unknown

Mais conteúdos dessa disciplina