Logo Passei Direto
Buscar

Mecanica Geral

User badge image
Elias Santos

em

Ferramentas de estudo

Questões resolvidas

O estudo dos movimentos dos corpos é aplicado em várias linhas. O projeto de suspensão dos veículos é um exemplo em que se pode aplicar o estudo dos movimentos, que é conhecido como cinemática.
Complete as lacunas a seguir: A definição da velocidade leva a concluir que o posição final de uma partícula é a soma da posição ________ com o produto da ___________ e o tempo. Analisando a definição da aceleração pode-se obter o ________ subtraindo a velocidade ________ da ________ e dividindo pela aceleração.
Inicial, velocidade, tempo, inicial, final.

O Movimento Uniformemente Variado (MUV) é aquele em que há variação de velocidade nos mesmos intervalos. É o mesmo que dizer que a sua aceleração é constante ao longo do tempo e é diferente de zero. É a aceleração que determina o movimento.
Diante do exposto no texto base e analisando o gráfico em questão observe as afirmativas:
I. Após t = 0 a velocidade começa a aumentar.
II. No intervalo de t =2 até t = 3 a desaceleração é menor do que o intervalo anterior.
III. Percebe-se que no intervalo de t = 1 até t = 2 acontece um aumento de velocidade.
IV. No intervalo de t = 7 até t = 8 acontece uma redução da velocidade no sentido negativo da trajetória.
b. Apenas as afirmativas I e II estão corretas.

Nos movimentos uniformes é possível, através dos gráficos, determinar várias condições da partícula analisada.
De acordo com o gráfico, analise as afirmativas a seguir e assinale V para verdadeiro e F para falso:
(F) Nestas condições o deslocamento independe do tempo.
(V) Nestas condições o deslocamento se apresenta como uma linha inclinada.
(V) O gráfico acima mostra claramente que se trata de um movimento uniforme.
(F) Se consideramos , pode-se considerar que o deslocamento até t=10 foi de 72 metros.
(V) Diante do comportamento da posição da partícula pode-se considerar que a velocidade x tempo seria uma reta plana.

Ao se analisar sistema mecânicos com roldanas, é necessário atentar de forma minuciosa para a dinâmica desse sistema.
A partir do texto e da figura apresentados, avalie as asserções a seguir e a relação proposta entre elas.
I. Para a montar as equações da velocidade e da aceleração do sistema pode-se desconsiderar os deslocamentos constantes.
II. No processo de construção das equações ao sofrer as derivações necessárias, os deslocamentos constantes deste sistema será igual zero.
Escolha uma: asserção I e II são proposições verdadeiras, e a asserção II é uma justificativa correta da asserção I.

O estudo do movimento das partículas é de grande importância em várias áreas dos processos industrias, sua aplicação se dá na indústria automotiva, aviação entre outros.
Diante do exposto sobre o comportamento aceleração no texto anterior analise as afirmativas a seguir:
I. A aceleração positiva refere-se ao aumento de uma velocidade negativa.
II. A aceleração negativa refere-se ao aumento de uma velocidade negativa.
III. A aceleração negativa refere-se a diminuição de uma velocidade negativa.
IV. A aceleração positiva refere-se a diminuição de um velocidade negativa.
c. Apenas as afirmativas II e IV estão corretas.

As fortes acelerações sentidas em uma montanha russa não são devidas apenas aos aumentos e diminuições de velocidade, mas são causadas também pelo movimento curvilíneo.
A partir do texto e da figura apresentada, avalie as asserções a seguir e a relação proposta entre elas.
I - No ponto A do movimento curvilíneo apresentado existem dois versores, isto significa que neste ponto a velocidade será nula.
II - Nos pontos em que há dois versores tangenciais a partícula tenta ir para os dois sentidos ao mesmo tempo.
b. A asserção I é uma proposição verdadeira, e a asserção II é um proposição falsa.

Com relação ao movimento dos corpos analise as afirmativas a seguir.
É correto o que se afirma em:
I. O estudo dos movimentos de uma partícula depende do referencial definido.
II. Na cinemática pode-se definir através de análise, que a variável dependente é o tempo.
III. Na cinemática busca-se identificar velocidade e aceleração de uma partícula em qualquer instante de tempo.
IV. No estudo dos movimentos, a partícula pode estar em movimento ou não dependendo do referencial adotado.
e. Apenas as afirmativas I, III e IV estão corretas.

Considerando a forma de se calcular o deslocamento através do gráfico, qual é o deslocamento do instante T=2 até T=4,5?
Escolha uma:
e. 16,25 m.

A partir do texto apresentado, avalie as asserções a seguir e a relação proposta entre elas.
I. Utilizando a relação entre a velocidade angular e a velocidade escalar pode-se definir que a velocidade escalar dos carros é de aproximadamente 39 m/s. PORQUE II. Só é possível calcular a velocidade escalar através da velocidade angular.
d. A asserção I é uma proposição verdadeira, e a asserção II é uma proposição falsa.

Para que possamos utilizar a Segunda Lei de Newton, a massa da partícula deverá ser sempre __________ durante seu movimento.
Assinale a alternativa correta, que completa a afirmação.
d. constante - inicial - constante

Ao analisar movimentos tridimensionais levamos em conta três sistemas de coordenadas:
Escolha uma:
a. Coordenadas retangulares x, y, z; coordenadas cilíndricas r, ϴ, z; e coordenadas esféricas R, ϴ, φ.

Assinale a alternativa correta.
I. Pelos tipos de trajetórias definidas pela relação da excentricidade, temos que para trajetórias hiperbólicas a partícula não vai retornar para o ponto inicial.
II. A trajetória parabólica é o limite a partir do qual a partícula não retorna ao ponto inicial.
III. A velocidade para que a partícula fique em trajetória elíptica é conhecida como velocidade de escape.
a. Apenas I e II são corretas.

Para as partículas que estão em orbita elíptica, definimos que
Escolha uma:
a. a maior e menor distância até o foco da trajetória elíptica são chamados de periápside e apoapside, respectivamente.

Em um intervalo de tempo de 20 segundos, uma força constante age sobre um corpo de massa 40 kg, estando esse em movimento retilíneo e uma velocidade escalar de 70 m/s. Após esse intervalo de tempo o corpo tem velocidade de 30 m/s (em módulo, direção e sentido original do movimento).
Qual o valor da força que atua sobre esse corpo?
c. 80 N em sentido contrário ao movimento original

As forças gravitacionais estão presentes atuando entre quaisquer dois corpos, porém apenas quando um dos corpos tiver uma massa muito grande é que a força gravitacional terá valor suficiente para ter seu efeito perceptível.
I. A força gravitacional exercida por uma pessoa sobre a outra é perceptível. II. A força gravitacional exercida pela Terra sobre uma pessoa é perceptível. III. A lei da gravitação local, relaciona a força gravitacional exercida por duas partículas, uma de massa M e outra de massa m, distantes por um fator r e que se atraem com forças F e –F.
d. Apenas II é verdadeira.

Baseado nas aplicações de forças gravitacionais, Newton definiu a lei da gravitação universal. Ele relacionou a força gravitacional exercida por duas ____________, uma de massa M e outra de massa m, distantes por um ____________ r e que se ___________ com forças F e -F, ou seja, forças de mesma intensidade, mas sentidos ____________.
Assinale a alternativa que completa as lacunas corretamente
d. partículas, fator, repelem, opostos

Uma empresa de lançamento de satélites precisa colocar em orbita elíptica um novo satélite. Este satélite será lançado em direção a um ponto P, com velocidade de 40.000 km/h a uma altitude em relação a superfície da Terra de 600 km.
Determine se a orbita deste satélite realmente vai ser elíptica considerando que a massa e o raio da Terra equivalem respectivamente a 5,976x1024 kg e 6.378 km e assinale a alternativa correta.
c. e = 1,16, portanto a orbita deste satélite será hiperbólica

Uma sonda espacial é enviada ao planeta Vênus para fotografá-lo e para que as fotografias fiquem na mesma perspectiva, a sonda deve entrar em orbita circular. A sonda aproxima-se de Vênus em uma trajetória parabólica, sendo que sua velocidade no ponto A, é igual a 6.300 km/h.
Analisando o movimento desta sonda, determine sua distância até o centro do planeta Vênus e a velocidade que deve passar a ter para que a orbita seja circular considerando que a massa de Vênus é de 4,87*1024 kg e o seu raio é de 6.052 km.
e. r0 = 2,12 x 1012 m ; vc = 12,38 m/s.

Material
páginas com resultados encontrados.
páginas com resultados encontrados.
left-side-bubbles-backgroundright-side-bubbles-background

Experimente o Premium!star struck emoji

Acesse conteúdos dessa e de diversas outras disciplinas.

Libere conteúdos
sem pagar

Ajude estudantes e ganhe conteúdos liberados!

left-side-bubbles-backgroundright-side-bubbles-background

Experimente o Premium!star struck emoji

Acesse conteúdos dessa e de diversas outras disciplinas.

Libere conteúdos
sem pagar

Ajude estudantes e ganhe conteúdos liberados!

left-side-bubbles-backgroundright-side-bubbles-background

Experimente o Premium!star struck emoji

Acesse conteúdos dessa e de diversas outras disciplinas.

Libere conteúdos
sem pagar

Ajude estudantes e ganhe conteúdos liberados!

left-side-bubbles-backgroundright-side-bubbles-background

Experimente o Premium!star struck emoji

Acesse conteúdos dessa e de diversas outras disciplinas.

Libere conteúdos
sem pagar

Ajude estudantes e ganhe conteúdos liberados!

left-side-bubbles-backgroundright-side-bubbles-background

Experimente o Premium!star struck emoji

Acesse conteúdos dessa e de diversas outras disciplinas.

Libere conteúdos
sem pagar

Ajude estudantes e ganhe conteúdos liberados!

left-side-bubbles-backgroundright-side-bubbles-background

Experimente o Premium!star struck emoji

Acesse conteúdos dessa e de diversas outras disciplinas.

Libere conteúdos
sem pagar

Ajude estudantes e ganhe conteúdos liberados!

left-side-bubbles-backgroundright-side-bubbles-background

Experimente o Premium!star struck emoji

Acesse conteúdos dessa e de diversas outras disciplinas.

Libere conteúdos
sem pagar

Ajude estudantes e ganhe conteúdos liberados!

left-side-bubbles-backgroundright-side-bubbles-background

Experimente o Premium!star struck emoji

Acesse conteúdos dessa e de diversas outras disciplinas.

Libere conteúdos
sem pagar

Ajude estudantes e ganhe conteúdos liberados!

left-side-bubbles-backgroundright-side-bubbles-background

Experimente o Premium!star struck emoji

Acesse conteúdos dessa e de diversas outras disciplinas.

Libere conteúdos
sem pagar

Ajude estudantes e ganhe conteúdos liberados!

left-side-bubbles-backgroundright-side-bubbles-background

Experimente o Premium!star struck emoji

Acesse conteúdos dessa e de diversas outras disciplinas.

Libere conteúdos
sem pagar

Ajude estudantes e ganhe conteúdos liberados!

Questões resolvidas

O estudo dos movimentos dos corpos é aplicado em várias linhas. O projeto de suspensão dos veículos é um exemplo em que se pode aplicar o estudo dos movimentos, que é conhecido como cinemática.
Complete as lacunas a seguir: A definição da velocidade leva a concluir que o posição final de uma partícula é a soma da posição ________ com o produto da ___________ e o tempo. Analisando a definição da aceleração pode-se obter o ________ subtraindo a velocidade ________ da ________ e dividindo pela aceleração.
Inicial, velocidade, tempo, inicial, final.

O Movimento Uniformemente Variado (MUV) é aquele em que há variação de velocidade nos mesmos intervalos. É o mesmo que dizer que a sua aceleração é constante ao longo do tempo e é diferente de zero. É a aceleração que determina o movimento.
Diante do exposto no texto base e analisando o gráfico em questão observe as afirmativas:
I. Após t = 0 a velocidade começa a aumentar.
II. No intervalo de t =2 até t = 3 a desaceleração é menor do que o intervalo anterior.
III. Percebe-se que no intervalo de t = 1 até t = 2 acontece um aumento de velocidade.
IV. No intervalo de t = 7 até t = 8 acontece uma redução da velocidade no sentido negativo da trajetória.
b. Apenas as afirmativas I e II estão corretas.

Nos movimentos uniformes é possível, através dos gráficos, determinar várias condições da partícula analisada.
De acordo com o gráfico, analise as afirmativas a seguir e assinale V para verdadeiro e F para falso:
(F) Nestas condições o deslocamento independe do tempo.
(V) Nestas condições o deslocamento se apresenta como uma linha inclinada.
(V) O gráfico acima mostra claramente que se trata de um movimento uniforme.
(F) Se consideramos , pode-se considerar que o deslocamento até t=10 foi de 72 metros.
(V) Diante do comportamento da posição da partícula pode-se considerar que a velocidade x tempo seria uma reta plana.

Ao se analisar sistema mecânicos com roldanas, é necessário atentar de forma minuciosa para a dinâmica desse sistema.
A partir do texto e da figura apresentados, avalie as asserções a seguir e a relação proposta entre elas.
I. Para a montar as equações da velocidade e da aceleração do sistema pode-se desconsiderar os deslocamentos constantes.
II. No processo de construção das equações ao sofrer as derivações necessárias, os deslocamentos constantes deste sistema será igual zero.
Escolha uma: asserção I e II são proposições verdadeiras, e a asserção II é uma justificativa correta da asserção I.

O estudo do movimento das partículas é de grande importância em várias áreas dos processos industrias, sua aplicação se dá na indústria automotiva, aviação entre outros.
Diante do exposto sobre o comportamento aceleração no texto anterior analise as afirmativas a seguir:
I. A aceleração positiva refere-se ao aumento de uma velocidade negativa.
II. A aceleração negativa refere-se ao aumento de uma velocidade negativa.
III. A aceleração negativa refere-se a diminuição de uma velocidade negativa.
IV. A aceleração positiva refere-se a diminuição de um velocidade negativa.
c. Apenas as afirmativas II e IV estão corretas.

As fortes acelerações sentidas em uma montanha russa não são devidas apenas aos aumentos e diminuições de velocidade, mas são causadas também pelo movimento curvilíneo.
A partir do texto e da figura apresentada, avalie as asserções a seguir e a relação proposta entre elas.
I - No ponto A do movimento curvilíneo apresentado existem dois versores, isto significa que neste ponto a velocidade será nula.
II - Nos pontos em que há dois versores tangenciais a partícula tenta ir para os dois sentidos ao mesmo tempo.
b. A asserção I é uma proposição verdadeira, e a asserção II é um proposição falsa.

Com relação ao movimento dos corpos analise as afirmativas a seguir.
É correto o que se afirma em:
I. O estudo dos movimentos de uma partícula depende do referencial definido.
II. Na cinemática pode-se definir através de análise, que a variável dependente é o tempo.
III. Na cinemática busca-se identificar velocidade e aceleração de uma partícula em qualquer instante de tempo.
IV. No estudo dos movimentos, a partícula pode estar em movimento ou não dependendo do referencial adotado.
e. Apenas as afirmativas I, III e IV estão corretas.

Considerando a forma de se calcular o deslocamento através do gráfico, qual é o deslocamento do instante T=2 até T=4,5?
Escolha uma:
e. 16,25 m.

A partir do texto apresentado, avalie as asserções a seguir e a relação proposta entre elas.
I. Utilizando a relação entre a velocidade angular e a velocidade escalar pode-se definir que a velocidade escalar dos carros é de aproximadamente 39 m/s. PORQUE II. Só é possível calcular a velocidade escalar através da velocidade angular.
d. A asserção I é uma proposição verdadeira, e a asserção II é uma proposição falsa.

Para que possamos utilizar a Segunda Lei de Newton, a massa da partícula deverá ser sempre __________ durante seu movimento.
Assinale a alternativa correta, que completa a afirmação.
d. constante - inicial - constante

Ao analisar movimentos tridimensionais levamos em conta três sistemas de coordenadas:
Escolha uma:
a. Coordenadas retangulares x, y, z; coordenadas cilíndricas r, ϴ, z; e coordenadas esféricas R, ϴ, φ.

Assinale a alternativa correta.
I. Pelos tipos de trajetórias definidas pela relação da excentricidade, temos que para trajetórias hiperbólicas a partícula não vai retornar para o ponto inicial.
II. A trajetória parabólica é o limite a partir do qual a partícula não retorna ao ponto inicial.
III. A velocidade para que a partícula fique em trajetória elíptica é conhecida como velocidade de escape.
a. Apenas I e II são corretas.

Para as partículas que estão em orbita elíptica, definimos que
Escolha uma:
a. a maior e menor distância até o foco da trajetória elíptica são chamados de periápside e apoapside, respectivamente.

Em um intervalo de tempo de 20 segundos, uma força constante age sobre um corpo de massa 40 kg, estando esse em movimento retilíneo e uma velocidade escalar de 70 m/s. Após esse intervalo de tempo o corpo tem velocidade de 30 m/s (em módulo, direção e sentido original do movimento).
Qual o valor da força que atua sobre esse corpo?
c. 80 N em sentido contrário ao movimento original

As forças gravitacionais estão presentes atuando entre quaisquer dois corpos, porém apenas quando um dos corpos tiver uma massa muito grande é que a força gravitacional terá valor suficiente para ter seu efeito perceptível.
I. A força gravitacional exercida por uma pessoa sobre a outra é perceptível. II. A força gravitacional exercida pela Terra sobre uma pessoa é perceptível. III. A lei da gravitação local, relaciona a força gravitacional exercida por duas partículas, uma de massa M e outra de massa m, distantes por um fator r e que se atraem com forças F e –F.
d. Apenas II é verdadeira.

Baseado nas aplicações de forças gravitacionais, Newton definiu a lei da gravitação universal. Ele relacionou a força gravitacional exercida por duas ____________, uma de massa M e outra de massa m, distantes por um ____________ r e que se ___________ com forças F e -F, ou seja, forças de mesma intensidade, mas sentidos ____________.
Assinale a alternativa que completa as lacunas corretamente
d. partículas, fator, repelem, opostos

Uma empresa de lançamento de satélites precisa colocar em orbita elíptica um novo satélite. Este satélite será lançado em direção a um ponto P, com velocidade de 40.000 km/h a uma altitude em relação a superfície da Terra de 600 km.
Determine se a orbita deste satélite realmente vai ser elíptica considerando que a massa e o raio da Terra equivalem respectivamente a 5,976x1024 kg e 6.378 km e assinale a alternativa correta.
c. e = 1,16, portanto a orbita deste satélite será hiperbólica

Uma sonda espacial é enviada ao planeta Vênus para fotografá-lo e para que as fotografias fiquem na mesma perspectiva, a sonda deve entrar em orbita circular. A sonda aproxima-se de Vênus em uma trajetória parabólica, sendo que sua velocidade no ponto A, é igual a 6.300 km/h.
Analisando o movimento desta sonda, determine sua distância até o centro do planeta Vênus e a velocidade que deve passar a ter para que a orbita seja circular considerando que a massa de Vênus é de 4,87*1024 kg e o seu raio é de 6.052 km.
e. r0 = 2,12 x 1012 m ; vc = 12,38 m/s.

Prévia do material em texto

U1S1 - Atividade Diagnóstica
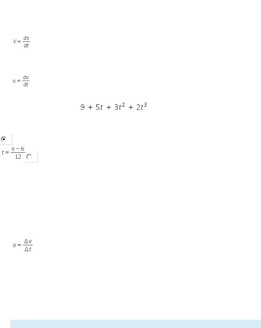
1 Utilizando fórmulas adequadas é possível determinar a velocidade ou aceleração de uma partícula. Caso esta partícula tenha uma trajetória linear, pode-se encontrar essas variáveis através da derivada do deslocamento (S).
 
Sendo a velocidade uma derivada do deslocamento, tem-se então que a aceleração pode ser definida como uma derivada da velocidade.
 
Diante do exposto no texto base, considere que a equação que rege a posição de uma determinada partícula é  .
Pode-se então definir que t é:
a.
 
2 Na física a aceleração é considerada a taxa de variação da velocidade em relação ao tempo, ou seja, é a rapidez com que a velocidade de um corpo varia. É uma grandeza vetorial que como tal possui módulo, direção e sentido. No Sistema Internacional de Unidades (SI) a unidade de aceleração é o metro por segundo ao quadrado (m/s²).
 Para se obter o valor da aceleração é necessário identificar primeiramente a posição em que a partícula está no tempo igual zero (t=0). Deste modo pode-se definir que a aceleração é relação entre a variação da velocidade pela variação do tempo, conforme mostrado na equação a seguir.
 
Diante do exposto, considere que uma partícula qualquer se encontra em uma determinada posição no espaço igual a 65 m no tempo igual a zero e que sua velocidade e tempo varia conforme tabela a seguir terá então uma aceleração igual a:
	V (m/s)
	25
	40
	55
	70
	85
	100
	115
	t (s)
	10
	13,5
	17
	20,5
	24
	27,5
	31
Assinale a alternativa correta: 
C 4,28 m/s². 
3 Existem muitas formas de se analisar o movimento das partículas, dentre as quais a que promove uma informação visual da trajetória da partícula, os gráficos. Através do gráfico é possível identificar tendências, comportamentos de uma ou mais partículas. Um dos comportamentos que podem ser determinados é a posição de uma partícula que percorre uma trajetória linear. Para entender essa posição em função do tempo, foi montado um gráfico da posição da partícula em função do tempo como mostrada na figura1. 
Figura 1: Gráfico da partícula 1
 
Fonte: CANTIDIO (2017)
Diante do exposto no texto, analise as afirmativas:
 I - A posição da partícula no tempo 45 será menor que 360.
II - Existe uma mudança na aceleração a partir do tempo 10.
III - A partícula tem a mesma velocidade em todos os intervalos de tempo.
IV - A partícula está se movendo no sentido positivo da trajetória até o tempo 50.
É correto o que se afirma em:
 Apenas as afirmativas II e IV estão corretas. 
U1S1 - Atividade de Aprendizagem
1 O estudo dos movimentos dos corpos é aplicado em várias linhas. O projeto de suspensão dos veículos é um exemplo em que se pode aplicar o estudo dos movimentos, que é conhecido como cinemática.
A cinemática estuda os movimentos dos corpos, sendo principalmente os lineares e circulares. Estes movimentos costumam ser divididos em Movimento Retilíneo Uniforme (M.R.U) e Movimento Retilíneo Uniformemente Variado (M.R.U.V)
Ao estudar a cinemática de qualquer corpo é importante explicitar variáveis como a velocidade, o deslocamento e a variação do tempo.
Na cinemática a velocidade por exemplo, é definida pela variação do deslocamento em função do tempo. Já a aceleração de um corpo é obtida entre a relação da variação da velocidade pela variação do tempo.
 Complete as lacunas a seguir:
A definição da velocidade leva a concluir que o posição final de uma partícula é a soma da posição ________ com o produto da ___________ e o tempo. Analisando a definição da aceleração pode-se obter o ________ subtraindo a velocidade ________ da ________ e dividindo pela aceleração.
Tomando como base o texto acima assinale a alternativa correta:
Inicial, velocidade, tempo, inicial, final. 
2 O Movimento Uniformemente Variado (MUV) é aquele em que há variação de velocidade nos mesmos intervalos. É o mesmo que dizer que a sua aceleração é constante ao longo do tempo e é diferente de zero. É a aceleração que determina o movimento. Assim, a média da aceleração é fundamental para que se obtenha o valor de MUV.
Nas representações gráficas de aceleração, velocidade e tempo, é necessário ter alguns cuidados ao analisar. Por exemplo, no caso da velocidade ela pode ser constante, aumentada ou diminuída. O eixo da velocidade mesmo mostrando valores negativos só indica que a mesma está aumentando no sentido negativo da trajetória. As variações de velocidade podem também ser analisadas em gráficos como mostrado a seguir.
 
 Diante do exposto no texto base e analisando o gráfico em questão observe as afirmativas:
 I. Após t = 0 a velocidade começa a aumentar.
II. No intervalo de t =2 até t = 3 a desaceleração é menor do que o intervalo anterior.
III. Percebe-se que no intervalo de t = 1 até t = 2 acontece um aumento de velocidade.
IV. No intervalo de t = 7 até t = 8 acontece uma redução da velocidade no sentido negativo da trajetória.
É correto apenas o que se afirma em:
b. Apenas as afirmativas I e II estão corretas.
3 Nos movimentos uniformes é possível, através dos gráficos, determinar várias condições da partícula analisada. Observe o gráfico de posição x tempo de uma partícula a seguir. 
 
 Fonte: CANTIDIO (2017)
De acordo com o gráfico, analise as afirmativas a seguir e assinale V para verdadeiro e F para falso:
 (F) Nestas condições o deslocamento independe do tempo.
(V) Nestas condições o deslocamento se apresenta como uma linha inclinada.
(V) O gráfico acima mostra claramente que se trata de um movimento uniforme.
(F) Se consideramos  , pode-se considerar que o deslocamento até t=10 foi de 72 metros.
(V) Diante do comportamento da posição da partícula pode-se considerar que a velocidade x tempo seria uma reta plana.
U1S2 - Atividade Diagnóstica
1 Ao se analisar sistema mecânicos com roldanas, é necessário atentar de forma minuciosa para a dinâmica desse sistema. No equacionamento do sistema será observado os deslocamentos que podem ser variáveis ou constantes.
Observe o sistema composto por roldanas a seguir.
 
Fonte: CANTIDIO (2017)
 
 A partir do texto e da figura apresentados, avalie as asserções a seguir e a relação proposta entre elas.
 I. Para a montar as equações da velocidade e da aceleração do sistema pode-se desconsiderar os deslocamentos constantes.
PORQUE
II. No processo de construção das equações ao sofrer as derivações necessárias, os deslocamentos constantes deste sistema será igual zero.
A respeito dessas asserções, assinale a opção correta.
Escolha uma:
 asserção I e II são proposições verdadeiras, e a asserção II é uma justificativa correta da asserção I. 
2 O estudo das partículas muitas vezes devem ser feitos observando não só uma única partícula, mas a interação entre 2 ou mais partículas em um único sistema. Nestes casos classifica-se o movimento da partícula como “movimento dependente", ou seja o movimento de um partícula depende de outra partícula. Observe a seguir um sistema de roldanas com duas partículas integradas. É importante frisar que para esse tipo de sistema a leis continuam a ser válidas, ou seja, a velocidade será derivada do deslocamento enquanto que a aceleração será derivada da velocidade. O que muda é que ao determinar a velocidade de uma partícula, estará na verdade determinando a velocidade desta partícula em relação à outra partícula, já que os movimentos são dependentes.
Fonte: CANTIDIO (2017)
 Diante do exposto no texto acerca de movimentos dependentes análise as afirmativas a seguir:
 I. A aceleração .
II. A distância  é uma constante neste sistema.
III. O comprimento total do cabo será igual a som de .
IV. A velocidade .
d. Apenas as afirmativas II e IV estão corretas.
3 O estudo das partículas muitas vezes devem ser feitos observando não só uma única partícula, mas a interação entre 2 ou mais partículas em um único sistema. Nestes casos classifica-se o movimento da partícula como “movimento dependente", ou seja o movimento de um partícula depende de outra partícula. Observe a seguir umsistema de roldanas com duas partículas integradas. É importante frisar que para esse tipo de sistema a leis continuam a ser válidas, ou seja, a velocidade será derivada do deslocamento enquanto que a aceleração será derivada da velocidade. O que muda é que ao determinar a velocidade de uma partícula, estará na verdade determinando a velocidade desta partícula em relação à outra partícula, já que os movimentos são dependentes.
Fonte: CANTIDIO (2017)
 
Considerando os movimentos dependentes do sistema, analise as afirmativas a seguir e assinale V para verdadeiro e F para falso:
 (V) R1, R2 e R3 são constantes.
(F) A distância C1 é uma constante neste sistema.
(V) A distância C2 é uma constante neste sistema.
(V) A distância C4 é dependente do deslocamento do bloco B.
(F) A distância C3 é dependente do deslocamento do bloco B.
U1S2 - Atividade de Aprendizagem
1 O estudo do movimento das partículas é de grande importância em várias áreas dos processos industrias, sua aplicação se dá na indústria automotiva, aviação entre outros. Umas das grandezas importantes neste contexto é a aceleração da partícula.
Como se sabe, a aceleração de uma partícula em qualquer instante de tempo é a segunda derivada da posição x(t) em relação ao tempo. A aceleração tem magnitude e direção, sendo portanto uma quantidade vetorial. O seu sinal algébrico + ou – representam o sentido assumido em um eixo.
 Diante do exposto sobre o comportamento aceleração no texto anterior analise as afirmativas a seguir:
 I. A aceleração positiva refere-se ao aumento de uma velocidade negativa.
II. A aceleração negativa refere-se ao aumento de uma velocidade negativa.
III. A aceleração negativa refere-se a diminuição de uma velocidade negativa.
IV. A aceleração positiva refere-se a diminuição de um velocidade negativa.
É correto apenas o que se afirma em:
Escolha uma:
c. Apenas as afirmativas II e IV estão corretas. 
2 Na análise da cinemática de partículas as variáveis envolvidas estão constantemente inter-relacionadas, isto prova-se quando na obtenção da velocidade faz-se a primeira derivada do deslocamento, e a aceleração obtém-se através da segunda derivada do deslocamento. Portanto, com alteração de uma dessa variáveis irá então provocar uma alteração nas demais.
 Diante do exposto sobre entre deslocamento, velocidade e aceleração analise as colunas abaixo considerando que o deslocamento de uma partícula é descrito pela equação :
	COLUNA A
	COLUNA B
	I. Gráfico da velocidade.
 
 
 
II. Gráfico da aceleração.
 
 
 
III. Gráfico do deslocamento.
	A. 
 
B. 
 
C. 
Agora assinale a alterativa que apresenta a sequência correta:
Escolha uma:
e. I-C, II-A, III-B. 
3 No estudo da cinemática das partículas, se depara muitas vezes com partículas que possuem condições de movimento desuniforme, isso ocorre quando a partícula apresenta em alguns intervalos de tempo alguma condição que altere o deslocamento, aceleração e velocidade. Como já estudados a velocidade é uma derivada do deslocamento, enquanto que a aceleração é uma derivada da velocidade.
Observe o sistema que apresenta o monitoramento de um veículo que irá do ponto A para o ponto B. Neste trajeto o mesmo irá passar por um rodovia que possui um parte com pista simples e outra com pista duplicada, portanto as condições de deslocamento são diferentes, o que irá impactar certamente na velocidade e na aceleração.
Fonte: CANTIDIO (2017)
Em virtude das diferentes condições de movimento segundo o texto base anterior pode-se então afirmar que, analisando o deslocamento do veículo apresentado no gráfico, a aceleração na pista duplicada será igual a:
Escolha uma:
c.
ZERO 
U1S3 - Atividade Diagnóstica
1 Uma partícula deslocando-se em um movimento circular uniforme, possui velocidade escalar, aceleração centrípeta, assim como velocidade angular. As relações entre essas variáveis seguem como descritas a seguir.
V = velocidade escalar
ac=aceleração centrípeta
R = raio da circunferência
Observe a figura abaixo que demostra um partícula se movendo em uma circunferência, em um movimento circular uniforme.
Fonte: CANTIDIO (2017)
 
Considerando o movimento circular uniforme e que a figura possui velocidade constante, analise as afirmativas e assinale V para verdadeiro e F para falso.
 I. O vetor da velocidade será sempre tangente a trajetória.
II. O vetor da aceleração centrípeta será no sentido centro para fora da circunferência.
IV. O vetor da velocidade terá um variação constante.
Agora, assinale a alternativa que representa a sequência correta.
b. V – F – V. 
2 As fortes acelerações sentidas  em uma montanha russa não são devidas apenas aos aumentos e diminuições de velocidade, mas são causadas também pelo movimento curvilíneo. A taxa de aumento da velocidade é apenas uma das componentes da aceleração, a aceleração tangencial. A outra componente da aceleração depende da velocidade e do raio de curvatura da trajetória.
Em trajetórias onde se verifica o movimento curvilíneo encontra-se o versor tangencial (ÊT), este versor estará presente sempre tangenciando a trajetória da partícula e seu sentido será sempre na direção que aumenta o deslocamento (s), sendo o sentido o mesmo ou oposto.
Observe a figura a seguir que mostra a trajetória curvilínea de um partícula.
A partir do texto e da figura apresentada, avalie as asserções a seguir e a relação proposta entre elas.
 I - No ponto A do movimento curvilíneo apresentado existem dois versores, isto significa que neste ponto a velocidade será nula.
 PORQUE
 II - Nos pontos em que há dois versores tangenciais a partícula tenta ir para os dois sentidos ao mesmo tempo.
 b. A asserção I é uma proposição verdadeira, e a asserção II é um proposição falsa
2 Uma partícula pode estar em movimento quando sua posição no espaço se altera no decorrer do tempo. Neste movimento as variáveis do deslocamento, velocidade e aceleração estarão intimamente relacionadas. A velocidade de uma partícula define o tempo que essa partícula consome para se deslocar de um ponto para outro enquanto que a aceleração será a taxa de variação da velocidade em relação ao tempo.
 A partir do texto apresentado, avalie as asserções a seguir e a relação proposta entre elas.
 I. Assumindo que um automóvel se deslocou de uma cidade para outra a uma velocidade constante de 100 km/h, pode-se então definir que a aceleração deste automóvel foi nula.
PORQUE
II. Só ocorrerá aceleração se houver uma variação na velocidade do veículo, caso contrário não.
A respeito dessas asserções, assinale a opção correta.
Escolha uma:
c. Asserção I e II são proposições verdadeiras, e a asserção II é uma justificativa da asserção I
U1S3 - Atividade de Aprendizagem
1 Como se sabe as características do trajeto percorrido por uma partícula tem influência direta nas características velocidade e da aceleração. Dependendo da trajetória pode-se ter velocidade escalar ou velocidade variável, aceleração constante ou nula.
Observe a trajetória apresentada a seguir.
Fonte: CANTIDIO (2017)
 Diante da relação entre velocidade e aceleração em função da trajetória apresentada, analise as afirmativas a seguir:
 I. No deslocamento A1-A2 a uma velocidade constante tem-se aceleração igual a zero.
II. No deslocamento A2-A3 a uma velocidade escalar constante tem-se uma aceleração constante.
III. No deslocamento A3-A4 a uma velocidade escalar constante tem-se uma aceleração constante.
É correto o que se afirma em:
d. Apenas as afirmativas I e II estão corretas
2 A cinemática e assim denominada para o estudo dos movimentos dos corpos independentes das causas que originaram este movimento e também da inércia. Essa característica difere a cinemática da cinética, pois a segunda realiza o estudo em corpos que sofreram ações de forças somente.
 Com relação ao movimento dos corpos analise as afirmativas a seguir.
 I. O estudo dos movimentos de uma partícula depende do referencial definido.
II. Na cinemática pode-se definir atravésde análise, que a variável dependente é o tempo.
III. Na cinemática busca-se identificar velocidade e aceleração de uma partícula em qualquer instante de tempo.
IV. No estudo dos movimentos, a partícula pode estar em movimento ou não dependendo do referencial adotado. É correto o que se afirma em:
e.
Apenas as afirmativas I, III e IV estão corretas
3 Os movimentos podem ser classificados de diversas formas, dentre as quais tem-se o movimento uniformemente variado.
Também conhecido como movimento acelerado, consiste em um movimento onde há variação de velocidade, ou seja, o móvel sofre aceleração à medida que o tempo passa. Mas se essa variação de velocidade for sempre igual em intervalos de tempo iguais, então se diz que este é um Movimento Uniformemente Variado (também chamado de Movimento Uniformemente Acelerado), ou seja, que tem aceleração constante e diferente de zero.
 Observe o gráfico a seguir.
Fonte: CANTIDIO (2017)
Observando o gráfico e relacionando com um movimento uniformemente variado pode-se definir que a linha 3, linha 2 e linha 1 representam respectivamente:
Escolha uma:
a.
Aceleração, velocidade e posição da partícula.
U1 - Avaliação da Unidade
 1 O deslocamento de uma partícula pode ser representado por uma equação de segundo grau por exemplo, outra forma de se representar o deslocamento de uma partícula é através de gráficos que relacione a variável com o tempo, sendo as variáveis dependentes a velocidade e a aceleração, e a variável independente o tempo.
Quando o deslocamento é expresso em uma função, basta apenas derivar esta função a fim de se obter a velocidade da partícula como mostrado a seguir:
Observe a seguir a função que representa o deslocamento de uma partícula no espaço.
Com base na função acima analise as afirmativas.
I. A velocidade desta partícula será de 5T.
II. A aceleração desta partícula será igual a 4m/s2.
III. A partícula se desloca em uma movimento uniforme.
É correto apenas o que se afirma em:
Escolha uma:
c.
Apenas a afirmativa II está correta. 
 2 A aceleração e velocidade possuem interferências direta. Isso é provado quando se entende que a aceleração é na verdade uma derivada da velocidade. Portanto, se é conhecida a equação que representa a velocidade de uma determinada partícula, pode-se então facilmente encontrar sua aceleração.
Suponha que a equação que representa a velocidade do movimento retilíneo de uma partícula é determinada através de .
Diante do exposto no texto pode-se então definir que a função que rege a aceleração é:
Escolha uma:
d.
3 O deslocamento de uma partícula no espaço, depende das características do movimento e pode ser classificado de duas formas. O primeiro é o movimento uniforme que se caracteriza por ter um velocidade escalar constante, que é diferente de zero enquanto que a aceleração é igual a zero. O segundo é o movimento uniforme variado, que possui a característica de ter uma aceleração constante, o que provoca uma variação na velocidade. Nos dois modelos, uma forma prática de se visualizar essa característica é a utilização do gráfico velocidade versus tempo. O gráfico a seguir possibilita analisar o comportamento da velocidade, e encontrar o deslocamento entre dois pontos no tempo através do cálculo da área. 
 
 
Considerando a forma de se calcular o deslocamento através do gráfico, qual é o deslocamentos do instante T=2 até T=4,5?
Escolha uma:
e.
16,25 m. 
4 A velocidade escalar (ou velocidade linear) descreve a rapidez com que uma partícula percorre determinada trajetória. A velocidade angular descreve a rapidez com que uma partícula percorre determinado ângulo central de uma circunferência.
 Matematicamente existem uma relação entre a velocidade escalar e a velocidade angular, esta relação pode ser apresentada conforme demostrado no quadro a seguir.
	FÓRMULA
	DEFINIÇÕES
	W = 2F
	W = velocidade angular.
F = frequência.
	V = W x R
	V = velocidade escalar.
R = raio da trajetória da partícula.
Fonte: Autor
Considere uma pista de corrida que possui um formato circular perfeito, seu diâmetro é de 900 m. Nos treinos os carros mais rápidos fizeram 10 voltas e gastaram 12 minutos.
 A partir do texto apresentado, avalie as asserções a seguir e a relação proposta entre elas.
 
I. Utilizando a relação entre a velocidade angular e a velocidade escalar pode-se definir que a velocidade escalar dos carros é de aproximadamente 39 m/s.
PORQUE
II. Só é possível calcular a velocidade escalar através da velocidade angular.
A respeito dessas asserções, assinale a opção correta.
Escolha uma:
d.
A asserção I é uma proposição verdadeira, e a asserção II é uma proposição falsa. 
5 O estudo da cinemática das partículas em muitos casos faz-se necessário para definir a posição relativa de uma partícula a outra. Nestes estudos além da posição também pode-se determinar a velocidade relativa entre as partículas estudadas, assim como a aceleração relativa, sempre lembrando que a velocidade é uma derivada do deslocamento enquanto que a aceleração é um derivada da velocidade.
Observe a seguir a figura que apresenta três partículas (P1, P2 e P3).
Fonte: CANTIDIO (2017)
 Diante do exposto acima analise as colunas:
	COLUNA A
	COLUNA B
	I. SP1
II. SP2
III. SP3
IV. SP12
V. SP23
	      A) SP3-(SP1+SP12).
      B) SP2 – SP1.
      C) SP23 + SP2.
      D) SP3-(SP23+SP12).
      E) SP3 – SP23.
Agora assinale a alternativa que apresenta a sequência correta:
Escolha uma:
c.
I-D, II-E, III-C, IV-B, V-A 
U2S1 - Atividade Diagnóstica
1 Sabendo-se que a fórmula da aceleração é dada por a=V/t e a velocidade é V=S/t, e a Segunda Lei de Newton é definida com F=m*a. Verifique as seguintes interpretações.
 (V) Se a força resultante for igual a zero, a aceleração também será nula e a partícula manterá seu estado de movimento.
(V) Caso uma partícula esteja inicialmente em repousa e nenhuma nova força seja aplicada, essa partícula se manterá em repouso.
(F) A Segunda Lei de Newton pode ser aplicada em todos os casos, independente se ocorre variação de massa.
Julgue os itens e assinale a alternativa correta.
2 Com a importância da Segunda Lei de Newton, sabemos que está relacionado com os cálculos de aceleração e velocidade.
 As forças que estão atuando na partícula precisam ser ____________, pois é a resultante delas que impõe o ____________. De acordo com a relação básica da Segunda Lei de Newton, a _________ equivale com o produto de uma __________ com uma determinada _____________.
  Assinale a alternativa que completa a frase.
Escolha uma:
e.
 analisadas -  movimento - força - massa e aceleração. 
3 As forças que estão atuando na partícula precisam ser analisadas, pois é a resultante delas que impõe o movimento. Imagine uma partícula que está sob algumas forças é necessário utilizar alguns métodos encontrar as forças atuantes e seu movimento, sendo assim, analise as afirmações abaixo.
 I - Uma partícula pode se movimentar em três planos no espaço, sendo necessário o uso do diagrama de corpo livre e analisando as forças aplicadas de forma tridimensional.
 PORQUE
 II -Através do diagrama de corpo livre é possível realizar todos os cálculos relacionados a uma partícula.
 Assinale a alternativa correta referente as assertivas.
Escolha uma:
d.
A assertiva I é verdadeira e a II é falsa
U2S1 - Atividade de Aprendizagem
1 A partir da Segunda Lei de Newton, foram determinados novos experimentos aplicando outras forças e foi observado que sempre se mantem a proporcionalidade entre a força e a aceleração por uma constante m definida como massa. De acordo com os conceitos que envolvem a Segunda Lei de Newton, julgue as frases seguintes. 
 
(F) Os movimentos estudados com a Segunda Lei de Newton, servem apenas para os movimentos bidimensionais.
(F) Os movimentos estudados com a Segunda Lei de Newton, servem apenas para os movimentos tridimensionais.
(V) A segunda lei de Newton foi determinada experimentalmente, aplicando uma forçaresultante em uma determinada partícula e medindo a aceleração resultante.
(V) A Segunda Lei de Newton só pode ser aplicada em sistemas com massa constante.
 Assinale a alternativa correta.
2 Quando um corpo está com uma velocidade e não sofre nenhuma força, este estará com velocidade _________ e está será igual a sua velocidade _________, sendo assim este corpo estará sem qualquer tipo de aceleração.
Para que possamos utilizar a Segunda Lei de Newton, a massa da partícula deverá ser sempre ___________ durante seu movimento.
 Assinale a alternativa correta, que completa a afirmação.
Escolha uma:
d.
constante - inicial – constante
3 Sabendo-se que uma partícula está sofrendo varias ações de forças resultantes, o vetor resultante destas forças será o vetor representante da aceleração da partícula.
Sendo que um vetor é um conjunto de segmentos orientados de reta que possuem mesmo modulo, sentido e direção.
Diagrama de corpo livre é a representação de forças aplicadas em um conjunto.
 
a) 
 
 
b) 
c) 
 1) Diagrama de corpo Livre.
2) Demonstração do vetor aceleração.
3) Direções sentidos e módulo das forças 
 Relacione as letras com seus respectivos números e assinale a alternativa correta.
e. 1 - B ; 2 - C ; 3 - A 
U2S2 - Atividade Diagnóstica
1 Outro caso de movimento de partículas no qual o movimento é regido através de uma força central, tem uma força F em direção ao ponto de origem O, que é a responsável pelo movimento da partícula P.
Esta força F é denominada de força central enquanto o ponto O é denominado de 
a. centro de força. 
2 No estudo do movimento de partículas, muito provavelmente vamos nos deparar em situações no qual o movimento ocorra em uma curva espacial, de modo que vamos precisar analisar o movimento tridimensional da partícula.
Ao analisar movimentos tridimensionais levamos em conta três sistemas de coordenadas:
Escolha uma:
a. Coordenadas retangulares x, y, z; coordenadas cilíndricas r, ϴ, z; e coordenadas esféricas R, ϴ, φ.
3 Ao analisarmos o movimento de partículas em trajetória curvilínea, devemos considerar as coordenadas normal e tangencial na partícula. Ao aplicarmos os conceitos da segunda lei de Newton no movimento com trajetória curvilínea, teremos três coordenadas para a aceleração imposta a partícula.
 I. Representação de uma partícula P em movimento curvilíneo tridimensional.
II. Representação de uma partícula P em movimento curvilíneo bidimensional, com destaque para os componentes radial e transversal de mv.
III. Representação de uma partícula P em movimento curvilíneo, de coordenadas polares r e ϴ para as velocidades.
c. Apenas I é verdadeira
U2S2 - Atividade de Aprendizagem
1 Às vezes, o movimento da partícula está restrito a uma trajetória que é melhor descrita utilizando-se coordenadas cilíndricas. Se o movimento é restrito ao plano, então coordenadas polares são usadas. Podemos especificar a posição da partícula utilizando uma coordenada ____________, que se estende para fora a partir da origem ____________ até a partícula, e a coordenada ____________, que é o ângulo no sentido ____________ entre uma linha de referência fixa e o eixo r.
Assinale a alternativa que completa corretamente as lacunas acima.
Escolha uma:
a. radial r, fixa O, transversal θ, anti-horário
2 As caixas deslocam-se ao longo do transportador industrial. Se uma caixa parte do repouso em A e aumenta sua velocidade escalar de tal maneira que at = (0,2t) m/s2
onde t é dado em segundos.
 
Determine a intensidade da sua aceleração quando ela chega ao ponto B  e assinale a alternativa correta.
 b. 5,36 m/s2.
3 A barra OA gira no plano horizontal de tal maneira que ϴ = 1t3. Ao mesmo tempo, o anel B está escorregando para fora ao longo de OA de maneira que r = 100t2. Se em ambos os casos t é dado em segundos, determine a velocidade e a aceleração quando t = 1s.
 
Assinale a alternativa correta quanto a velocidade e aceleração.
Escolha uma:
d. V=0,5m/s e a=1,99m/s2
U2S3 - Atividade Diagnóstica
1 Quando estamos analisando a trajetória circular, a velocidade escalar vc para que o satélite fique nesta trajetória, é definida pela relação:
 
Ao considerarmos que o raio r0 seja grande suficiente para que o movimento da partícula não tenha atrito deduz-se que 
Escolha uma:
b. vc representa o valor da velocidade mínima que a partícula deve ter para que não colida com a partícula de massa maior
2 A seção cônica representa o seu movimento em trajetória definida pela relação da excentricidade e que deve ser constante. De acordo com as trajetórias cônicas de movimento, encontra-se diferentes resultados pela equação da excentricidade.
 I. Pelos tipos de trajetórias definidas pela relação da excentricidade, temos que para trajetórias hiperbólicas a partícula não vai retornar para o ponto inicial.
II. A trajetória parabólica é o limite a partir do qual a partícula não retorna ao ponto inicial.
III. A velocidade para que a partícula fique em trajetória elíptica é conhecida como velocidade de escape.
Assinale a alternativa correta
Escolha uma:
a. Apenas I e II são corretas.
3 Em algumas análises do movimento de partículas sob efeito de uma força central gravitacional, como nos casos de satélites orbitando a Terra, definimos que a seção cônica representa o seu movimento em trajetória definida pela relação da excentricidade e que deve ser constante. Associe as colunas abaixo de acordo com as trajetórias cônicas de movimento, para diferentes resultados obtidos pela equação da excentricidade.
	 Excentricidade
	Trajetória
	A.       e = 0
	I. Parabólica.
	B.       e > 1
	II. Elíptica.
	C.       e = 1
	III. Circular.
	D.       e < 1
	IV.  Hiperbólica.
e. A-III, B-IV, C-I, D-II.
U2S3 - Atividade de Aprendizagem
1 As nomenclaturas perigeu e apogeu são utilizadas apenas para partículas que estão em trajetória elíptica na orbita da Terra.
Para as partículas que estão em orbita elíptica, definimos que
Escolha uma:
a. a maior e menor distância até o foco da trajetória elíptica são chamados de periápside e apoapside, respectivamente.
2 A trajetória parabólica é o limite para que a partícula retorne ao ponto inicial, e a velocidade para que a partícula fique neste tipo de trajetória é conhecida como velocidade de escape ve.
Comparando as trajetórias parabólica e circular em relação ao raio r0, é correto afirmar que:
Escolha uma:
c. .
3 Quando estamos analisando a trajetória circular, a velocidade escalar vc para que o satélite fique nesta trajetória, é definida pela relação:
 
Ao considerarmos que vc representa o valor da velocidade mínima que a partícula deve ter para que não colida com a partícula de massa maior então
Escolha uma:
b. para velocidades menores que vc, a partícula de massa m vai chocar na superfície da partícula de massa M.
U2 - Avaliação da Unidade
1 Em um intervalo de tempo de 20 segundos, uma força constante age sobre um corpo de massa 40 kg, estando esse em movimento retilíneo e uma velocidade escalar de 70 m/s.  Após esse intervalo de tempo o corpo tem velocidade de 30 m/s (em módulo, direção e sentido original do movimento). 
 Qual o valor da força que atua sobre esse corpo?
c. 80 N em sentido contrário ao movimento original
2 As forças gravitacionais estão presentes atuando entre quaisquer dois corpos, porém apenas quando um dos corpos tiver uma massa muito grande é que a força gravitacional terá valor suficiente para ter seu efeito perceptível.
 I. A força gravitacional exercida por uma pessoa sobre a outra é perceptível.
II. A força gravitacional exercida pela Terra sobre uma pessoa é perceptível.
III. A lei da gravitação local, relaciona a força gravitacional exercida por duas partículas, uma de massa M e outra de massa m, distantes por um fator r e que se atraem com forças F e –F.
d. Apenas II é verdadeira. 
3 Baseado nas aplicações de forças gravitacionais, Newton definiu a lei da gravitação universal. Ele relacionou a força gravitacional exercidapor duas ____________, uma de massa M e outra de massa m, distantes por um ____________ r e que se ___________ com forças F e -F, ou seja, forças de mesma intensidade, mas sentidos ____________.
Assinale a alternativa que completa as lacunas corretamente
d. partículas, fator, repelem, opostos
4 Uma empresa de lançamento de satélites precisa colocar em orbita elíptica um novo satélite. Este satélite será lançado em direção a um ponto P, com velocidade de 40.000 km/h a uma altitude em relação a superfície da Terra de 600 km. 
Determine se a orbita deste satélite realmente vai ser elíptica considerando que a massa e o raio da Terra equivalem respectivamente a 5,976x1024 kg e 6.378 km e assinale a alternativa correta.
c. e = 1,16, portanto a orbita deste satélite será hiperbólica
5 Uma sonda espacial é enviada ao planeta Vênus para fotografá-lo e para que as fotografias fiquem na mesma perspectiva, a sonda deve entrar em orbita circular. A sonda aproxima-se de Vênus em uma trajetória parabólica, sendo que sua velocidade no ponto A, é igual a 6.300 km/h. Analisando o movimento desta sonda, determine sua distância até o centro do planeta Vênus e a velocidade que deve passar a ter para que a orbita seja circular considerando que a massa de Vênus é de 4,87*1024 kg e o seu raio é de 6.052 km.
Assinale a alternativa correta para o ro e vc.
e. r0 = 2,12 x 1012 m ; vc = 12,38 m/s.

Mais conteúdos dessa disciplina