Logo Passei Direto
Buscar

Lista Introduçao Química orgânica 2019

Ferramentas de estudo

Questões resolvidas

O eugenol ou óleo de cravo, é um forte antisséptico. Seus efeitos medicinais auxiliam no tratamento de náuseas, indigestão e diarreia. Contém propriedades bactericidas, antivirais, e é também usado como anestésico e antisséptico para o alívio de dores de dente.
O número de átomos de carbono secundário neste composto é:
a) 2
b) 3
c) 7
d) 8
e) 10

Observe a fórmula.
As quantidades totais de átomos de carbono primário, secundário e terciário são, respectivamente:
a) 5, 2 e 2.
b) 3, 2 e 2.
c) 3, 3 e 2.
d) 2, 3 e 4.
e) 5, 1 e 3.

O ácido acetil salicílico de fórmula: um analgésico de diversos nomes comerciais (AAS, Aspirina, Buferin e outros), apresenta cadeia carbônica:
a) acíclica, heterogênea, saturada, ramificada
a) acíclica, heterogênea, saturada, ramificada
b) mista, heterogênea, insaturada, aromática
c) mista, homogênea, saturada, alicíclica
d) aberta, heterogênea, saturada, aromática
e) mista, homogênea, insaturada, aromática

Um grupo de compostos, denominado ácidos graxos, constitui a mais importante fonte de energia na dieta do Homem. Um exemplo destes é o ácido linoleico, presente no leite humano.
A sua fórmula é: Sua cadeia carbônica é classificada como:
a) Aberta, normal, saturada e homogênea.
b) Aberta, normal, insaturada e heterogênea.
c) Aberta, ramificada, insaturada e heterogênea.
d) Aberta, ramificada, saturada e homogênea.
e) Aberta, normal, insaturada e homogênea.

Mercadorias como os condimentos denominados cravo da índia, noz-moscada, pimenta do reino e canela tiveram uma participação destacada na tecnologia de conservação de alimentos 500 anos atrás. Eram denominadas especiarias.
Sabendo que o princípio ativo mais abundante no cravo da índia é o eugenol, estrutura representada acima, assinale a única alternativa CORRETA.
a) O eugenol apresenta fórmula molecular 8 12 2C H O.
b) O eugenol apresenta as funções éter e fenol.
c) O eugenol apresenta cinco carbonos 2sp.
d) O eugenol apresenta cadeia fechada alicíclica.
e) O eugenol apresenta quatro ligações sigmas.

"O Ministério da Saúde adverte: fumar pode causar câncer de pulmão." Um dos responsáveis por esse mal causado pelo cigarro é o alcatrão, que corresponde a uma mistura de substâncias aromáticas, entre elas benzeno, naftaleno e antraceno.
As fórmulas moleculares dos três hidrocarbonetos citados são respectivamente:
a) C6H12, C12H12, C18H20
b) C6H12, C2H10, C18H18
c) C6H6, C14H10, C10H10
d) C6H6, C14H10, C14H9
e) C6H6, C14H10, C10 H8

Escreva a fórmula estrutural deste composto: CH3CH2CH2CCCH2CH3 e diga quantas ligações existem:
a) Duas ligações simples e quatro duplas;
b) Quinze ligações simples e três duplas;
c) Dezessete ligações simples e uma ligação tripla;
d) Quinze ligações simples e duas ligações triplas;
e) Dezessete ligações simples e uma ligação dupla.

No composto CH2CHCH2CCH existem:
a) Duas ligações dupla e quatro tripla;
b) Quinze ligações simples e três dupla;
c) Dezoito ligações simples, uma dupla e uma tripla;
d) Oito ligações simples, uma dupla e uma tripla;
e) Oito ligações simples e três ligações duplas.

Considere os compostos I, II, III, IV e V, representados abaixo pelas fórmulas respectivas. Assinale a opção que indica SOMENTE compostos que possuem ligação ð:
a) I e V
b) I, II e V
c) I, IV e V
d) II, III e V
e) III e IV

Na fórmula H2C...x...CH-CH2-C...y...N, x e y representam, respectivamente, ligações:
a) simples e dupla.
b) dupla e dupla.
c) tripla e simples.
d) tripla e tripla.
e) dupla e tripla.

Material
páginas com resultados encontrados.
páginas com resultados encontrados.
left-side-bubbles-backgroundright-side-bubbles-background

Experimente o Premium!star struck emoji

Acesse conteúdos dessa e de diversas outras disciplinas.

Libere conteúdos
sem pagar

Ajude estudantes e ganhe conteúdos liberados!

left-side-bubbles-backgroundright-side-bubbles-background

Experimente o Premium!star struck emoji

Acesse conteúdos dessa e de diversas outras disciplinas.

Libere conteúdos
sem pagar

Ajude estudantes e ganhe conteúdos liberados!

Questões resolvidas

O eugenol ou óleo de cravo, é um forte antisséptico. Seus efeitos medicinais auxiliam no tratamento de náuseas, indigestão e diarreia. Contém propriedades bactericidas, antivirais, e é também usado como anestésico e antisséptico para o alívio de dores de dente.
O número de átomos de carbono secundário neste composto é:
a) 2
b) 3
c) 7
d) 8
e) 10

Observe a fórmula.
As quantidades totais de átomos de carbono primário, secundário e terciário são, respectivamente:
a) 5, 2 e 2.
b) 3, 2 e 2.
c) 3, 3 e 2.
d) 2, 3 e 4.
e) 5, 1 e 3.

O ácido acetil salicílico de fórmula: um analgésico de diversos nomes comerciais (AAS, Aspirina, Buferin e outros), apresenta cadeia carbônica:
a) acíclica, heterogênea, saturada, ramificada
a) acíclica, heterogênea, saturada, ramificada
b) mista, heterogênea, insaturada, aromática
c) mista, homogênea, saturada, alicíclica
d) aberta, heterogênea, saturada, aromática
e) mista, homogênea, insaturada, aromática

Um grupo de compostos, denominado ácidos graxos, constitui a mais importante fonte de energia na dieta do Homem. Um exemplo destes é o ácido linoleico, presente no leite humano.
A sua fórmula é: Sua cadeia carbônica é classificada como:
a) Aberta, normal, saturada e homogênea.
b) Aberta, normal, insaturada e heterogênea.
c) Aberta, ramificada, insaturada e heterogênea.
d) Aberta, ramificada, saturada e homogênea.
e) Aberta, normal, insaturada e homogênea.

Mercadorias como os condimentos denominados cravo da índia, noz-moscada, pimenta do reino e canela tiveram uma participação destacada na tecnologia de conservação de alimentos 500 anos atrás. Eram denominadas especiarias.
Sabendo que o princípio ativo mais abundante no cravo da índia é o eugenol, estrutura representada acima, assinale a única alternativa CORRETA.
a) O eugenol apresenta fórmula molecular 8 12 2C H O.
b) O eugenol apresenta as funções éter e fenol.
c) O eugenol apresenta cinco carbonos 2sp.
d) O eugenol apresenta cadeia fechada alicíclica.
e) O eugenol apresenta quatro ligações sigmas.

"O Ministério da Saúde adverte: fumar pode causar câncer de pulmão." Um dos responsáveis por esse mal causado pelo cigarro é o alcatrão, que corresponde a uma mistura de substâncias aromáticas, entre elas benzeno, naftaleno e antraceno.
As fórmulas moleculares dos três hidrocarbonetos citados são respectivamente:
a) C6H12, C12H12, C18H20
b) C6H12, C2H10, C18H18
c) C6H6, C14H10, C10H10
d) C6H6, C14H10, C14H9
e) C6H6, C14H10, C10 H8

Escreva a fórmula estrutural deste composto: CH3CH2CH2CCCH2CH3 e diga quantas ligações existem:
a) Duas ligações simples e quatro duplas;
b) Quinze ligações simples e três duplas;
c) Dezessete ligações simples e uma ligação tripla;
d) Quinze ligações simples e duas ligações triplas;
e) Dezessete ligações simples e uma ligação dupla.

No composto CH2CHCH2CCH existem:
a) Duas ligações dupla e quatro tripla;
b) Quinze ligações simples e três dupla;
c) Dezoito ligações simples, uma dupla e uma tripla;
d) Oito ligações simples, uma dupla e uma tripla;
e) Oito ligações simples e três ligações duplas.

Considere os compostos I, II, III, IV e V, representados abaixo pelas fórmulas respectivas. Assinale a opção que indica SOMENTE compostos que possuem ligação ð:
a) I e V
b) I, II e V
c) I, IV e V
d) II, III e V
e) III e IV

Na fórmula H2C...x...CH-CH2-C...y...N, x e y representam, respectivamente, ligações:
a) simples e dupla.
b) dupla e dupla.
c) tripla e simples.
d) tripla e tripla.
e) dupla e tripla.

Prévia do material em texto

Química 1- Introdução a Química Orgânica- Professora: Bruna Brígido 
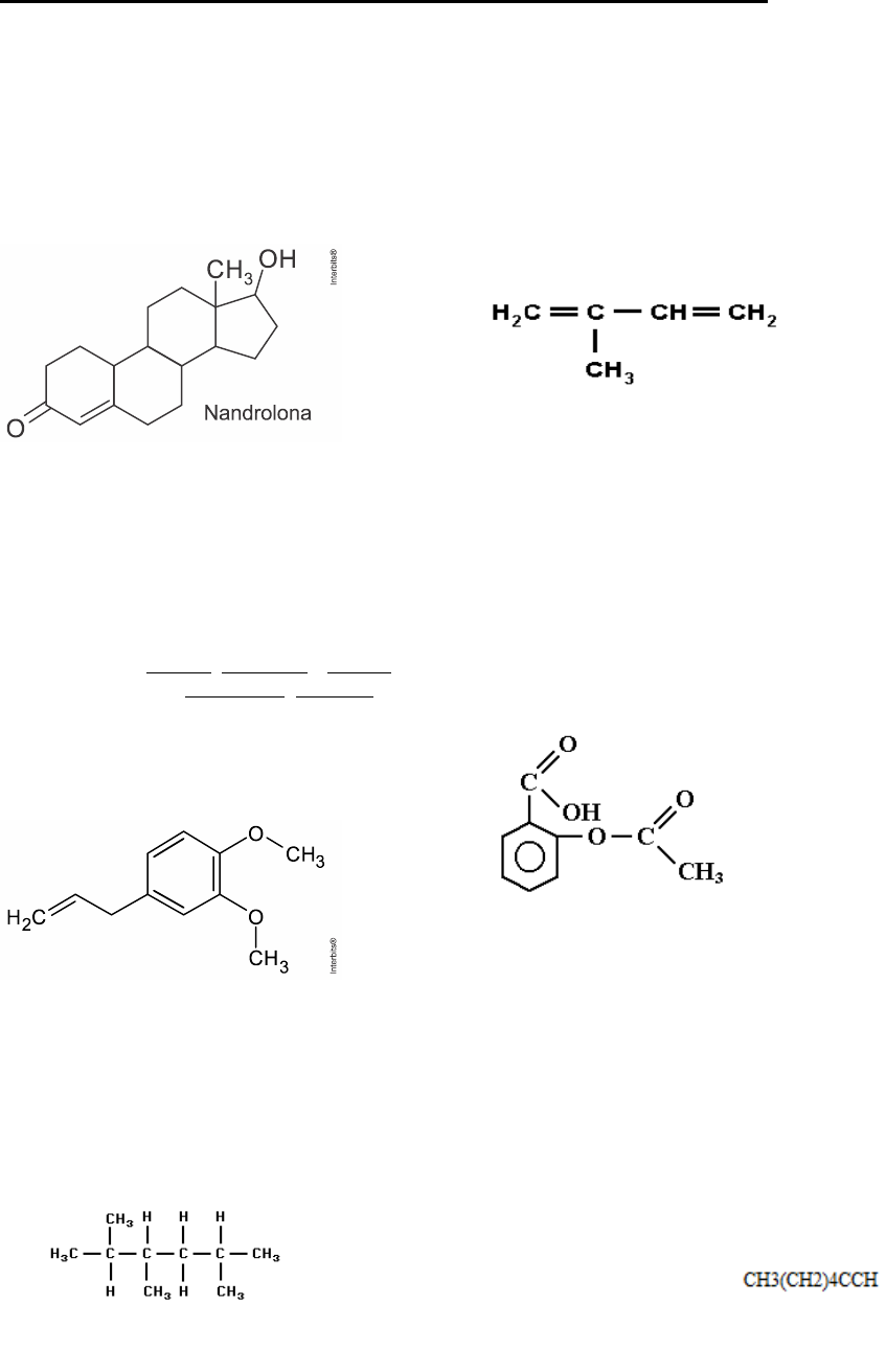
1. O Comitê Olímpico Internacional, durante as 
Olimpíadas Rio 2016, estava bastante atento aos 
casos de doping dos atletas. A nandrolona, por 
exemplo, é um hormônio derivado da 
testosterona muito utilizado pela indústria 
farmacêutica para a produção de derivados de 
esteroides anabólicos. 
 
 
 
Quantos carbonos terciários com hibridação 
3sp possui esse hormônio na sua estrutura 
molecular? 
a) 1 b) 2 c) 3 d) 4 e) 5 
 
2. O eugenol ou óleo de cravo, é um forte 
antisséptico. Seus efeitos medicinais auxiliam 
no tratamento de náuseas, indigestão e diarreia. 
Contém propriedades bactericidas, antivirais, e é 
também usado como anestésico e antisséptico 
para o alívio de dores de dente. A fórmula 
estrutural deste composto orgânico pode ser 
vista abaixo: 
 
 
 
O número de átomos de carbono secundário 
neste composto é: 
a) 2 b) 3 c) 7 d) 8 e) 10 
 
3. Observe a fórmula 
 
As quantidades totais de átomos de carbono 
primário, secundário e terciário são, 
respectivamente: 
a) 5, 2 e 2. 
b) 3, 2 e 2. 
c) 3, 3 e 2. 
d) 2, 3 e 4. 
e) 5, 1 e 3. 
 
 
4. A borracha natural é um líquido branco e 
leitoso, extraído da seringueira, conhecido como 
látex. O monômero que origina a borracha 
natural é o metil-1, 3-butadieno 
 
 
 do qual é correto afirmar que: 
 
a) é um hidrocarboneto de cadeia saturada e 
ramificada. 
b) é um hidrocarboneto aromático. 
c) tem fórmula molecular C4H5 
d) apresenta dois carbonos terciários, um carbono 
secundário e dois carbonos primários. 
e) é um hidrocarboneto insaturado de fórmula 
molecular C5H8. 
 
5.O ácido acetil salicílico de fórmula: 
 
 
 
 
 um analgésico de diversos nomes comerciais 
(AAS, Aspirina, Buferin e outros), apresenta 
cadeia carbônica: 
a) acíclica, heterogênea, saturada, ramificada 
b) mista, heterogênea, insaturada, aromática 
c) mista, homogênea, saturada, alicíclica 
d) aberta, heterogênea, saturada, aromática 
e) mista, homogênea, insaturada, aromática 
 
6. Um grupo de compostos, denominado ácidos 
graxos, constitui a mais importante fonte de 
energia na dieta do Homem. Um exemplo destes 
é o ácido linoleico, presente no leite humano. A 
sua fórmula é: 
 
 Sua cadeia carbônica é classificada como: 
 a) Aberta, normal, saturada e homogênea. 
 b) Aberta, normal, insaturada e heterogênea. 
 c) Aberta, ramificada, insaturada e heterogênea. 
d) Aberta, ramificada, saturada e homogênea. 
e) Aberta, normal, insaturada e homogênea. 
 
Química 1- Introdução a Química Orgânica- Professora: Bruna Brígido 
7. ) Mercadorias como os condimentos 
denominados cravo da índia, noz-moscada, 
pimenta do reino e canela tiveram uma 
participação destacada na tecnologia de 
conservação de alimentos 500 anos atrás. Eram 
denominadas especiarias. O uso caseiro do 
cravo da índia é um exemplo de como certas 
técnicas se incorporam à cultura popular. As 
donas de casa, atualmente, quando usam o cravo 
da índia, não o relacionam com a sua função 
conservante, mas o utilizam por sua ação 
flavorizante ou por tradição. 
 
 
 
Sabendo que o princípio ativo mais abundante 
no cravo da índia é o eugenol, estrutura 
representada acima, assinale a única alternativa 
CORRETA. 
a) O eugenol apresenta fórmula molecular 
8 12 2C H O . 
b) O eugenol apresenta as funções éter e fenol. 
c) O eugenol apresenta cinco carbonos 
2sp . 
d) O eugenol apresenta cadeia fechada 
alicíclica. 
e) O eugenol apresenta quatro ligações sigmas. 
 
8. "O Ministério da Saúde adverte: fumar pode 
causar câncer de pulmão." Um dos responsáveis 
por esse mal causado pelo cigarro é o alcatrão, 
que corresponde a uma mistura de substâncias 
aromáticas, entre elas benzeno, naftaleno e 
antraceno. 
 
 
 
 
 
 
As fórmulas moleculares dos três 
hidrocarbonetos citados são respectivamente: 
 
a) C6H12, C12H12, C18H20 
b) C6H12, C2H10, C18H18 
c) C6H6, C14H10, C10H10 
d) C6H6, C14H10, C14H9 
e) C6H6, C14H10, C10 H8 
 
9. Escreva a fórmula estrutural deste composto: 
CH3CH2CH2CCCH2CH3 e diga quantas ligações 
existem: 
 
a) Duas ligações simples e quatro duplas; 
b) Quinze ligações simples e três duplas; 
c) Dezessete ligações simples e uma ligação 
tripla; 
d) Quinze ligações simples e duas ligações 
triplas; 
e) Dezessete ligações simples e uma ligação 
dupla. 
10. No composto CH2CHCH2CCH existem: 
 
a) Duas ligações dupla e quatro tripla; 
b) Quinze ligações simples e três dupla; 
c) Dezoito ligações simples, uma dupla e 
uma tripla; 
d) Oito ligações simples, uma dupla e uma 
tripla ; 
e) Oito ligações simples e três ligações 
duplas. 
11. Considere os compostos I, II, III, IV e V, 
representados abaixo pelas fórmulas respectivas. 
 
I) CH3CH2CH3 
II) CH3CH2COOH 
III) CH3CCH 
IV) CH3CH3 
V) CH2CHCH3 
 
Assinale a opção que indica SOMENTE 
compostos que possuem ligação ð: 
 
a) I e V 
b) I, II e V 
c) I, IV e V 
d) II, III e V 
e) III e IV 
 
12. Na fórmula 
 
 H2C...x...CH-CH2-C...y...N, 
 
x e y representam, respectivamente, ligações 
a) simples e dupla. 
b) dupla e dupla. 
c) tripla e simples. 
d) tripla e tripla. 
e) dupla e tripla.

Mais conteúdos dessa disciplina