Logo Passei Direto
Buscar
Material
páginas com resultados encontrados.
páginas com resultados encontrados.
left-side-bubbles-backgroundright-side-bubbles-background

Crie sua conta grátis para liberar esse material. 🤩

Já tem uma conta?

Ao continuar, você aceita os Termos de Uso e Política de Privacidade

left-side-bubbles-backgroundright-side-bubbles-background

Crie sua conta grátis para liberar esse material. 🤩

Já tem uma conta?

Ao continuar, você aceita os Termos de Uso e Política de Privacidade

Prévia do material em texto

PERG UNTA 1 
1. Analise as seguintes assertivas quanto à veracidade – V para VERDADEIRO, ou F para FALSO: 
A ligação pi (π) está presente em moléculas nas quais existem ligações covalentes simples entre os 
átomos. 
Se existe apenas uma ligação entre dois átomos de uma molécula, esta ligação é pi (π). 
Se há uma ligação dupla entre dois átomos da molécula, uma será sigma (σ) e a outra, pi (π). 
 
As assertivas I, II, III e IV são, RESPECTIVAMENTE: 
 
a. V, V, F 
 
b. F, F, F. 
 
c. V, F, V. 
 
d. F, F, V. 
 
e. F, V, V. 
0,15 pontos 
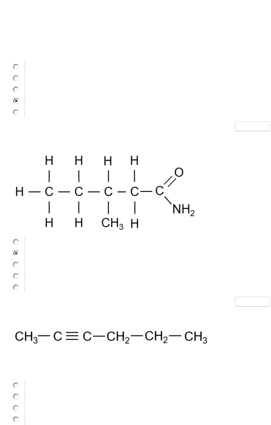
PERG UNTA 2 
1. Quantos carbonos terciários existem na estrutura do composto orgânico abaixo? 
 
 
a. 5. 
 
b. 1. 
 
c. 3. 
 
d. 4. 
 
e. 2. 
0,15 pontos 
PERG UNTA 3 
1. A estrutura a seguir representa o hex-2-ino. 
 
 
 
O hex-2-ino apresenta quantos carbonos com hibridização do tipo sp? 
 
a. 5. 
 
b. 4. 
 
c. 1. 
 
d. 3. 
 
e. 2. 
0,15 pontos 
PERG UNTA 4 
1. Observe a cadeia carbônica abaixo. 
 
 
 
Esta cadeia carbônica pode ser classificada como: 
 
a. Alifática e saturada. 
 
b. Saturada e homogênea. 
 
c. Normal e insaturada. 
 
d. Ramificada e heterogênea. 
 
e. Cíclica e heterogênea.

Mais conteúdos dessa disciplina