Logo Passei Direto
Buscar
Material
páginas com resultados encontrados.
páginas com resultados encontrados.
left-side-bubbles-backgroundright-side-bubbles-background

Crie sua conta grátis para liberar esse material. 🤩

Já tem uma conta?

Ao continuar, você aceita os Termos de Uso e Política de Privacidade

Prévia do material em texto

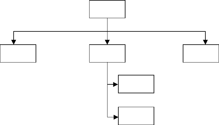
ESTRUTURA ANALÍTICA DO PROJETO
1. Bolo
1.1. Massa
1.2. Recheio
1.2.1. Preparo
1.2.2. Inserção
1.3. Cobertura
Bolo
Massa Recheio Cobertura
Preparo
Inserção

Mais conteúdos dessa disciplina