Logo Passei Direto
Buscar
Material
páginas com resultados encontrados.
páginas com resultados encontrados.
left-side-bubbles-backgroundright-side-bubbles-background

Crie sua conta grátis para liberar esse material. 🤩

Já tem uma conta?

Ao continuar, você aceita os Termos de Uso e Política de Privacidade

Prévia do material em texto

22/09/23, 21:40 UNIP - Universidade Paulista : DisciplinaOnline - Sistemas de conteúdo online para Alunos.
https://online.unip.br/Imprimir/ImprimirExercicio 1/1
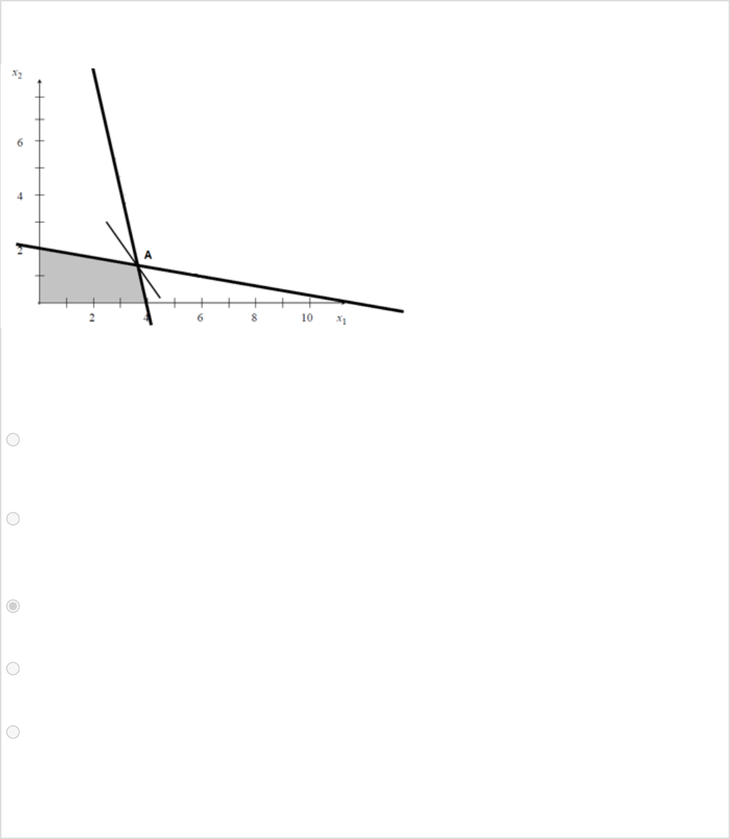
Observe a figura a seguir:
Acerca da figura é INCORRETO afirmar que
Alternativas:
A:
o ponto A representa a solução ótima.
B:
o ponto A e os pontos em que as restrições cortam os eixos definem, junto com a origem, o
polígono de soluções viáveis.
C:
a área mais escura do gráfico indica os pontos de solução ótima.
D:
no gráfico é possível identificar que há duas restrições.
E: a solução ótima é resultado das duas restrições sutilizadas ao máximo.
Resposta do aluno: C
Justificativa(s) do aluno:

Mais conteúdos dessa disciplina