Logo Passei Direto
Buscar
Material
páginas com resultados encontrados.
páginas com resultados encontrados.

Prévia do material em texto

1. Introdução
Pêndulo simples consiste um corpo rígido (com qualquer forma) suspenso por um ponto O e que pode girar livremente (sem atrito) em torno desse ponto.
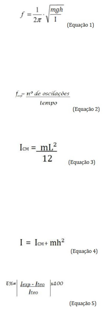
A O frequência de oscilação f de um pêndulo físico, considerando pequenas oscilações em torno do ponto de equilíbrio, pode ser calculada usando : 
Onde :
· I é o momento de inércia do corpo em oscilação, 
· m é a sua massa, 
· g é a aceleração da gravidade (981cm/s²)
· h a distância entre o ponto fixo o centro e massa corpo. 
Igualando as equações 1 e 2, obtemos o momento de inércia de uma haste em relação ao seu centro de massa (Icm) 
onde : 
· m : Massa
· L : Comprimento da haste
De acordo com o Teorema dos eixos paralelos, o momento de inércia de um corpo em relação a um eixo paralelo ao eixo que passa pelo centro de massa é dado por: 
O erro percentual (E%) é o erro que afeta a grandeza medida, expresso como:
1.1 – Objetivos
Observar o movimento de um pêndulo físico e determinar o momento de inércia de um corpo rígido em relação a um eixo qualquer, usando um pêndulo físico.
2. Procedimento e análises
Na atividade 1 o objetivo consiste em determinar o movimento de inércia I em relação a um eixo que passa por H1. Oscilamos o pêndulo (para ângulos menores que 10º) e medimos o tempo de 10 oscilações. Repetimos o procedimento 10 vezes e por fim calculamos o valor médio dos tempos.
	T1 (s)
	T2 (s)
	T3 (s)
	T4 (s)
	T5 (s)
	T6 (s)
	T7 (s)
	T8 (s)
	T9 (s)
	T10 (s)
	tempo médio (s)
	8,49
	8,24
	8,31
	8,16
	8,13
	8,24
	8,28
	8,14
	8,14
	8,33
	8,246
H1 = 10,75 
L = 31,5cm.
m= 55,1 g
	
Em seguida, calculamos o valor experimental do momento de inércia e o valor teórico calculado pelo teorema dos eixos paralelos:
Na atividade 2, repetimos o processo para 
	
	T1
	T2
	T3
	T4
	T5
	T6
	T7
	T8
	T9
	T10
	tempo médio
	a2
	8,44
	8,56
	8,31
	8,71
	8,81
	8,74
	8,65
	8,54
	8,58
	8,83
	8,617
H1 = 5,75  
L = 31,5cm.
m= 55,1 g
Na atividade 3 , repetimos o processo para 
	
	T1
	T2
	T3
	T4
	T5
	T6
	T7
	T8
	T9
	T10
	tempo médio
	a3
	8,21
	8,16
	8,19
	8,26
	8,29
	8,31
	8,23
	8,28
	8,21
	8,21
	8,235
H1 = 8,15 
L = 31,5cm.
m= 55,1 g
Na atividade 4 , repetimos o processo para 
	
	T1
	T2
	T3
	T4
	T5
	T6
	T7
	T8
	T9
	T10
	tempo médio
	a4
	8,39
	8,51
	8,46
	8,56
	8,41
	8,44
	8,51
	8,65
	8,73
	8,74
	8,54
H1 = 13,75
L = 31,5cm.
m= 55,1 g
2.1 – Analises
3. Conclusão
Classificação: Interna
Classificação: Interna
Classificação: Interna
image3.png
image4.png
image5.png
image1.png
image2.png

Mais conteúdos dessa disciplina