Logo Passei Direto
Buscar
Material
páginas com resultados encontrados.
páginas com resultados encontrados.

Prévia do material em texto

UNIVERSIDADE FEDERAL DO PIAUI – UFPI
CENTRO DE ENSINO ABERTO E A DISTÂNCIA – CEAD
COORDENAÇÃO DE FÍSICA
DISCIPLINA: FÍSICA EXPERIMENTAL I
EXPERIMENTO 4: Roteiro Experimental para Estudo do Pêndulo
1. Introdução
De todos os fenômenos físicos que ocorrem na superfície da Terra, o que mais influi no
modo de vida dos seres vivos é, sem dúvida nenhuma, a força da gravidade. Em meados
do século XVI, descobriu que o movimento de um pêndulo nos permite determinar a
aceleração gravitacional (g). Isso porque o período (T) de oscilação de um pêndulo
depende apenas de duas coisas: seu comprimento (L, que sempre podemos medir) e de
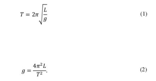
g. A relação entre os g,T e L é dada pela seguinte fórmula:
onde π = 3.1415926, T é o período de oscilação do pêndulo, L é o comprimento (em
metros) do pêndulo e g é a aceleração da gravidade. Com alguma manipulação
matemática, podemos escrever:
A equação número 2 nos dá a aceleração da gravidade em função do período de
oscilação do pêndulo e do comprimento do fio.
2. Objetivo:
Estudar o movimento oscilatório de um pêndulo simples e verificar a relação entre o
período de oscilação, o comprimento do fio e a amplitude.
3. Materiais Necessários:
1. Massa pequena (como um peso de metal ou um objeto similar)
2. Fio leve e inextensível
3. Suporte para suspender o pêndulo (como um tripé ou uma barra fixa)
4. Cronômetro (pode ser do seu celular)
5. Régua ou fita métrica
6. Transferidor (para medir ângulos)
7. Marcador (fita adesiva ou giz)
8. Calculadora (também do celular)
9. Caderno de anotações
4. Procedimento Experimental:
Monte o pêndulo de modo semelhante à ilustração a seguir
1. Preparação do Equipamento:
• Monte o suporte para suspender o pêndulo. Pode ser um tripé ou uma barra
fixa com um gancho para pendurar o fio.
• Prenda a massa no fio e o fio no suporte, de forma que a massa fique
suspensa e possa oscilar livremente.
• Meça e registre o comprimento do fio (L) desde o ponto de suspensão até o
centro de massa da massa.
• Certifique-se de que o fio é leve e inextensível e que a massa pode oscilar
livremente sem obstáculos. 
• Realize várias medições para obter dados mais precisos.
• Utilize cronômetros precisos e minimize a intervenção humana para reduzir
erros experimentais.
2. Calibração e Verificação Inicial:
• Verifique se o pêndulo pode oscilar livremente sem obstáculos. Certifique-se
de que o fio é leve e inextensível.
• Desloque a massa para uma pequena amplitude e solte-a para garantir que
ela oscila suavemente. Faça ajustes conforme necessário.
3. Medição do Período de Oscilação:
• Desloque a massa para uma amplitude pequena (aproximadamente 10
graus) para garantir que o movimento seja aproximadamente harmônico
simples.
• Solte a massa e use o cronômetro para medir o tempo para 10 oscilações
completas (ida e volta ao ponto inicial).
• Divida o tempo total pelo número de oscilações (10) para encontrar o
período médio (T) de uma oscilação.
4. Variação do Comprimento do Fio:
• Repita o experimento para diferentes comprimentos de fio (L). Meça e
registre o comprimento do fio para cada caso e determine o período de
oscilação para cada comprimento.
• Com um cronômetro, encontre o período de oscilação do pêndulo simples
usado no laboratório. Para isso, deixe o pêndulo oscilar, anotando o tempo
necessário para que ele o faça 10 oscilações completas e divida o tempo
total marcado no cronômetro pelo número de oscilações consideradas (10).
Repita esse processo 6 vezes e anote os valores na tabela 1. Utilize 4
algarismos significativos.
Tabela 1 - Medidas do período de oscilação de um pêndulo com L = 0,3 metros.
MEDIDA PERÍODO (s) MEDIDA PERÍODO(s)
01 04
02 05
03 06
Repita a experiência com um comprimento de fio L = 0,6 metros
Tabela 2 - Medidas do período de oscilação de um pêndulo com L = 0,6 metros.
MEDIDA PERÍODO (s) MEDIDA PERÍODO(s)
01 04
02 05
03 06
5. Repetição para Consistência:
• Repita cada medição várias vezes (pelo menos 3) para garantir a
consistência dos dados. Registre todas as medições em cada tentativa.
5. Análise dos Dados:
1. Cálculo do Período:
• Calcule o período médio (T) de oscilação para cada comprimento de fio (L)
utilizando a fórmula T =Ttotal/n, onde Ttotal é o tempo para n oscilações
completas.
2. Relação entre Período e Comprimento: 
• Verifique a relação entre o período T(s) de oscilação e o comprimento L do
fio. Segundo a teoria do pêndulo simples, o período (T) é dado por T =
2π√L/g, onde g é a aceleração devido à gravidade.
• Construa um gráfico de T 2 versus L e verifique se a relação é linear. A 
inclinação da linha reta deve ser 4π2/g.
6. Análise dos Resultados:
Compare os resultados experimentais com os valores teóricos. Determine a
aceleração devido à gravidade (g) a partir da inclinação do gráfico T2 versus
L.
7.Construção de Gráficos:
• Construa gráficos de período (T) versus comprimento (L) e T2 versus comprimento 
(L) para visualizar as relações.
Conclusão:
• Compare os resultados obtidos com a teoria do pêndulo simples. Discuta possíveis fontes de 
erro e suas influências nos resultados (por exemplo, resistência do ar, extensão do fio, 
precisão da medição do tempo, etc.).

Mais conteúdos dessa disciplina