Logo Passei Direto
Buscar

Exercícios de Matemática: Álgebra, Cálculo e Métodos Numéricos

Ferramentas de estudo

Questões resolvidas

A função real de variável real, definida por f (x) = (3 ¿ 2a).x + 2, é crescente quando?
3 - 2a > 0
- 2a > 0
– 3 (- 1). (- 2a) > (- 3). (- 1)
2a < 3
a < 3/2

Admitindo o método da bisseção e a função f(x) = x² - 2x - 8. O número mínimo de iterações necessárias, para atingir uma precisão de 0,01, ao estimar a raiz contida no intervalo [3,6] é igual a:

Interpole 7 meios aritméticos entre 6 e 46.
Solução: Interpolar 7 meios aritméticos entre 6 e 46 é acrescentar 7 números entre 6 e 46 para que a sequência formada seja uma P.A.
(6, _, _, _, _, _, _, _, 46). Note que teremos uma P.A. com 9 termos em que o primeiro termo é 6 e o último é 46.
a1 = 6
n = 9
a9 = 46

Diversos efeitos numéricos causados pelas operações aritméticas contribuem para que o resultado obtido não tenha crédito. Dentre estes, destacam-se os erros que ocorrem na subtração de dois números quase iguais, gerando o efeito denominado:
a) Cancelamento
b) Propagação de erro
c) Instabilidade numérica
d) Mal condicionamento
e) Truncamento

O problema geral da interpolação de polinômios consiste em se obter uma função y = f(x) a partir de um conjunto dado de n+1 pontos. Assim, dados os pontos (-1,5); (0,8) e (3, -1), o polinômio interpolador é?
a) 8 - 6x + x2
b) 8 + 6x + x2
c) 8 - 6x - x2
d) - 8 + 6x + x2
e) - 8 - 6x + x2

Considerando a função f (x) = ln (3x-1) + 2x e o intervalo [0,34 ; 0,5] onde encontramos uma raiz.
Determine essa raíz com uma precisão de 0,01 e utilizando o método da falsa posição.

Calcule o valor de y(1), dado que y¿ = t.y, y(0) = 3. Utilize o método de Euler, com passo igual a 0,1.

Calcule o valor de y(1), dado que y¿ = t.y2, y(0) = 3. Utilize o método de Euler, com passo igual a 0,2.

Material
páginas com resultados encontrados.
páginas com resultados encontrados.
left-side-bubbles-backgroundright-side-bubbles-background

Crie sua conta grátis para liberar esse material. 🤩

Já tem uma conta?

Ao continuar, você aceita os Termos de Uso e Política de Privacidade

left-side-bubbles-backgroundright-side-bubbles-background

Crie sua conta grátis para liberar esse material. 🤩

Já tem uma conta?

Ao continuar, você aceita os Termos de Uso e Política de Privacidade

Questões resolvidas

A função real de variável real, definida por f (x) = (3 ¿ 2a).x + 2, é crescente quando?
3 - 2a > 0
- 2a > 0
– 3 (- 1). (- 2a) > (- 3). (- 1)
2a < 3
a < 3/2

Admitindo o método da bisseção e a função f(x) = x² - 2x - 8. O número mínimo de iterações necessárias, para atingir uma precisão de 0,01, ao estimar a raiz contida no intervalo [3,6] é igual a:

Interpole 7 meios aritméticos entre 6 e 46.
Solução: Interpolar 7 meios aritméticos entre 6 e 46 é acrescentar 7 números entre 6 e 46 para que a sequência formada seja uma P.A.
(6, _, _, _, _, _, _, _, 46). Note que teremos uma P.A. com 9 termos em que o primeiro termo é 6 e o último é 46.
a1 = 6
n = 9
a9 = 46

Diversos efeitos numéricos causados pelas operações aritméticas contribuem para que o resultado obtido não tenha crédito. Dentre estes, destacam-se os erros que ocorrem na subtração de dois números quase iguais, gerando o efeito denominado:
a) Cancelamento
b) Propagação de erro
c) Instabilidade numérica
d) Mal condicionamento
e) Truncamento

O problema geral da interpolação de polinômios consiste em se obter uma função y = f(x) a partir de um conjunto dado de n+1 pontos. Assim, dados os pontos (-1,5); (0,8) e (3, -1), o polinômio interpolador é?
a) 8 - 6x + x2
b) 8 + 6x + x2
c) 8 - 6x - x2
d) - 8 + 6x + x2
e) - 8 - 6x + x2

Considerando a função f (x) = ln (3x-1) + 2x e o intervalo [0,34 ; 0,5] onde encontramos uma raiz.
Determine essa raíz com uma precisão de 0,01 e utilizando o método da falsa posição.

Calcule o valor de y(1), dado que y¿ = t.y, y(0) = 3. Utilize o método de Euler, com passo igual a 0,1.

Calcule o valor de y(1), dado que y¿ = t.y2, y(0) = 3. Utilize o método de Euler, com passo igual a 0,2.

Prévia do material em texto

AV2 – MODELAGEM MATEMÁTICA – PROFESSOR FARIAS - GABARITO
1. O resultado, em base decimal, de A XOR B, onde A = (24)16 e B = A + (14)16 é?
Aritmética computacional (base 2, 8 e 16)
2. A função real de variável real, definida por f (x) = (3 ¿ 2a).x + 2, é crescente quando?
3 - 2a > 0	- 2a > 0 – 3		(- 1). (- 2a) > (- 3). (- 1)		2a < 3		a < 3/2
3. Admitindo o método da bisseção e a função f(x) = x² - 2x - 8. O número mínimo de iterações necessárias, para atingir uma precisão de 0,01, ao estimar a raiz contida no intervalo [3,6] é igual a:
(log(6-3)-log(0.01))/log(2) resulta em 9
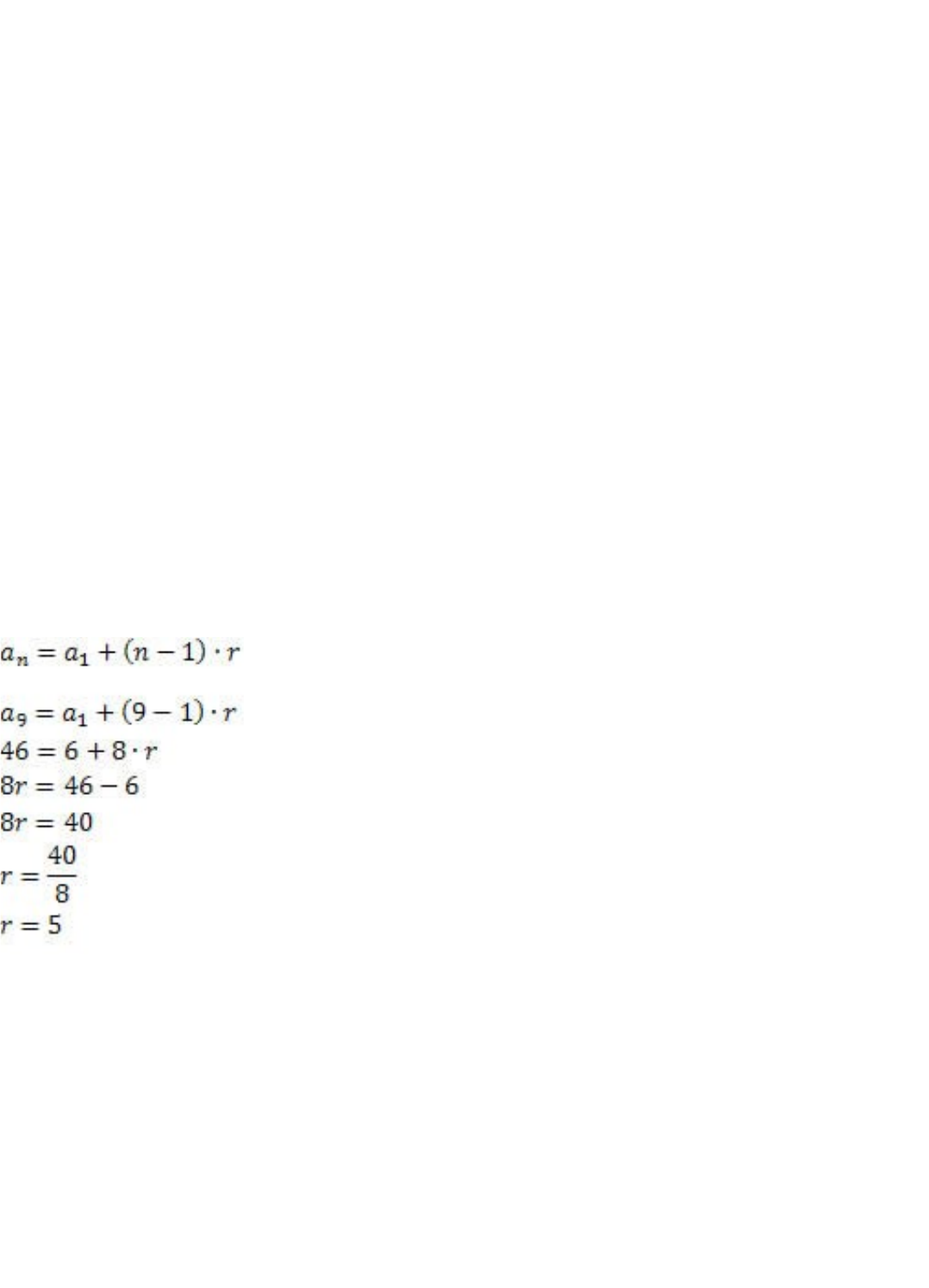
4. Interpole 7 meios aritméticos entre 6 e 46.
Solução: Interpolar 7 meios aritméticos entre 6 e 46 é acrescentar 7 números entre 6 e 46 para que a sequência formada seja uma P.A.
(6, _, _, _, _, _, _, _, 46). Note que teremos uma P.A. com 9 termos em que o primeiro termo é 6 e o último é 46. Assim, segue que:
a1 = 6
n = 9
a9 = 46Para determinarmos os termos que deverão ficar entre 6 e 46 é necessário determinar a razão da P.A. Para isso, utilizaremos a fórmula do termo geral.
 Encontrado o valor da razão, fica fácil determinar os demais elementos da sequência.
a2 = a1 + r = 6 + 5 = 11
a3 = a2 + r = 11 + 5 = 16
a4 = a3 + r = 16 + 5 = 21
a5 = a4 + r = 21 + 5 = 26
a6 = a5 + r = 26 + 5 = 31
a7 = a6 + r = 31 + 5 = 36
a8 = a7 + r = 36 + 5 = 41
Dessa forma, está completa a interpolação dos 7 meios aritméticos entre 6 e 46, formando a seguinte P.A:
(6, 11, 16, 21, 26, 31, 36, 41, 46)
5. Diversos efeitos numéricos causados pelas operações aritméticas contribuem para que o resultado obtido não tenha crédito. Dentre estes, destacam-se os erros que ocorrem na subtração de dois números quase iguais, gerando o efeito denominado:
a) Cancelamento Resposta: O cancelamento ocorre na subtração de números quase iguais, quando uma quantidade de dígitos iguais a zero aparece na mantissa do número normalizado sem que possuam significado algum.
b) Propagação de erro	
c) Instabilidade numérica	
d) Mal condicionamento	
e) Truncamento
6. O problema geral da interpolação de polinômios consiste em se obter uma função y = f(x) a partir de um conjunto dado de n+1 pontos. Assim, dados os pontos (-1,5); (0,8) e (3, -1), o polinômio interpolador é?
a) 8 - 6x + x2Resposta: Um teste de substituição dos pontos dados nas funções sinaliza que a única função passível de ser denominada como geradora para os pontos dados é 8 - 6x + x2.
b) 8 + 6x + x2
c) 8 - 6x - x2
d) - 8 + 6x + x2
e) - 8 - 6x + x2
7. Determinar o menor número de intervalos em que podemos dividir [1, 2] para obter ∫ ln(𝑥) 𝑑𝑥 f2 1 pela regra do Trapézio com erro <= 10-4
Resposta: 29 subintervalos
8. Considerando a função f (x) = ln (3x-1) + 2x e o intervalo [0,34 ; 0,5] onde encontramos uma raíz. Determine essa raíz com uma precisão de 0,01 e utilizando o método da falsa posição
Resposta: Utilizando o método da falsa posição precisaremos realizar três interações obtendo a raiz 0,472963
9. Calcule o valor de y(1), dado que y¿ = t.y, y(0) = 3. Utilize o método de Euler, com passo igual a 0,1
Resposta: Com base no cálculo obtido à luz da ferramenta disponibilizada em https://www.emathhelp.net/pt/calculators/differential-equations/euler-method-calculator/?f=ty&type=h&h=0.1&t0=0&y0=3&t1=1 (acesso em 19 JAN 22), obtém-se o valor de 4,64
10. Calcule o valor de y(1), dado que y¿ = t.y2, y(0) = 3. Utilize o método de Euler, com passo igual a 0,2
Resposta: Com base no cálculo obtido à luz da ferramenta disponibilizada em https://www.emathhelp.net/pt/calculators/differential-equations/euler-method-calculator/?f=ty%5E2&type=h&h=0.2&t0=0&y0=3&t1=1 (acesso em 19 JAN 22), obtém-se o valor de 13,09

Mais conteúdos dessa disciplina