Logo Passei Direto
Buscar

Questão resolvida - Resolva a equação diferencial linear não homogênea y+3y+2y=2x²+8x+3 - Cálculo I - ESTÁCIO

User badge image
Tiago Pimenta

em

Material
páginas com resultados encontrados.
páginas com resultados encontrados.
left-side-bubbles-backgroundright-side-bubbles-background

Crie sua conta grátis para liberar esse material. 🤩

Já tem uma conta?

Ao continuar, você aceita os Termos de Uso e Política de Privacidade

left-side-bubbles-backgroundright-side-bubbles-background

Crie sua conta grátis para liberar esse material. 🤩

Já tem uma conta?

Ao continuar, você aceita os Termos de Uso e Política de Privacidade

Prévia do material em texto

Tiago Lima - Instagram: @professor_disciplinas_exatas
 
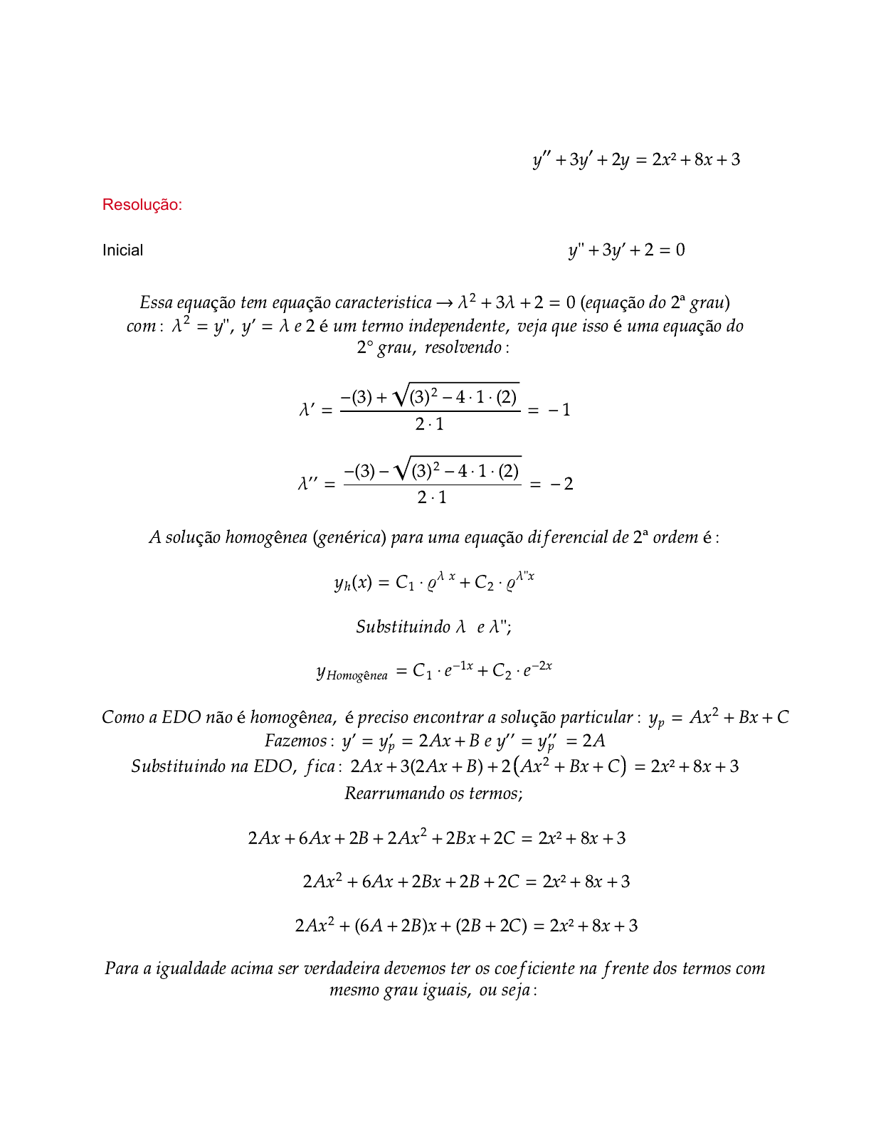
• Resolva a equação diferencial linear não homogênea .y′′+ 3y′+ 2y = 2x² + 8x + 3
 
Resolução:
 
Inicialmente, é preciso encontrar a solução da EDO de 2° ordem: y" + 3y' + 2 = 0
 
Essa equação tem equação caracteristica 𝜆 + 3𝜆+ 2 = 0 equação do 2ª grau→ 2 ( )
com : 𝜆 = y", y' = 𝜆 e 2 é um termo independente, veja que isso é uma equação do2
2° grau, resolvendo :
 
𝜆' = = - 1
- 3 +
2 ⋅ 1
( ) 3 - 4 ⋅ 1 ⋅ 2( )2 ( )
 
𝜆'' = = - 2
- 3 -
2 ⋅ 1
( ) 3 - 4 ⋅ 1 ⋅ 2( )2 ( )
 
A solução homogênea genérica para uma equação diferencial de 2ª ordem é :( )
 
y x = C ⋅ 𝜚 + C ⋅ 𝜚h( ) 1
𝜆´x
2
𝜆"x
 
Substituindo 𝜆´ e 𝜆";
 
y = C ⋅ e + C ⋅ eHomogênea 1
-1x
2
-2x
 
Como a EDO não é homogênea, é preciso encontrar a solução particular : y = Ax + Bx + Cp
2
Fazemos : y' = y' = 2Ax + B e y'' = y'' = 2Ap p
Substituindo na EDO, fica : 2Ax + 3 2Ax + B + 2 Ax + Bx + C = 2x² + 8x + 3( ) 2
Rearrumando os termos;
 
 2Ax + 6Ax + 2B + 2Ax + 2Bx + 2C = 2x² + 8x + 32
 
 2Ax + 6Ax + 2Bx + 2B + 2C = 2x² + 8x + 32
 
 2Ax + 6A + 2B x + 2B + 2C = 2x² + 8x + 32 ( ) ( )
 
Para a igualdade acima ser verdadeira devemos ter os coeficiente na frente dos termos com
mesmo grau iguais, ou seja :
 
 
 
 2A = 2, 6A + 2B = 8 e 2B + 2C = 3, que resulta no sistema;
 2A = 2
 6A + 2B = 8 
2B + 2C = 3
Resolvendo 2A = 2 A = A = 1→ →
2
2
→
6A + 2B = 8 6 1 + 2B = 8 6 + 2B = 8 2B = 8 - 6 2B = 2 B = B = 1→ ( ) → → → →
2
2
→
2B + 2C = 3 2 1 + 2C = 3 2 + 2C = 3 2C = 3 - 2 2C = 1 C =→ ( ) → → → →
1
2
 
Para finalizar, devemos somar a solução homogênea com a solução particular e teremos a
 solução geral da equação diferencial de segunda ordem :
 
y = C ⋅ e +C ⋅ e + x + x+g 1
-1x
2
-2x 2 1
2
 
 
(Resposta)

Mais conteúdos dessa disciplina